Добавить в корзинуПозвонить
Найти в Дзене

Решение уравнений из второй части ОГЭ по математике

Рассмотрим несколько типов уравнений, встречающихся во второй части ОГЭ по математике. Тип 1. Уравнение третьей степени, все члены изначально находятся в левой части Решаем группировкой первого члена со вторым, а третьего с четвертым. Получаются одинаковые скобки, которые потом тоже выносятся за общую скобку. Произведение равно нулю, когда один из сомножителей равен нулю, поэтому приравниваем обе полученные скобки к нулю и получаем корни исходного уравнения. Тип 2. Уравнение третьей степени, два члена уравнения находятся в левой части, остальные два - в правой Очень похожее на первый тип, но перед группировкой необходимо перенести все слагаемые из правой части в левую. Тип 3. Уравнение, где левая скобка является полным квадратом правой скобки Переносим все в левую часть, выносим повторяющуюся скобку, получаем сомножители, которые приравниваем к нулю. Тип 4. Сумма двух квадратов равна нулю Сумма двух чисел равна нулю тогда, когда оба эти числа равны нулю или тогда, когда числа являются

Рассмотрим несколько типов уравнений, встречающихся во второй части ОГЭ по математике.

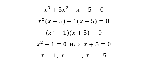
Тип 1. Уравнение третьей степени, все члены изначально находятся в левой части

Решаем группировкой первого члена со вторым, а третьего с четвертым. Получаются одинаковые скобки, которые потом тоже выносятся за общую скобку. Произведение равно нулю, когда один из сомножителей равен нулю, поэтому приравниваем обе полученные скобки к нулю и получаем корни исходного уравнения.

Ответ: -5; -1; 1
Ответ: -5; -1; 1

Тип 2. Уравнение третьей степени, два члена уравнения находятся в левой части, остальные два - в правой

Очень похожее на первый тип, но перед группировкой необходимо перенести все слагаемые из правой части в левую.

Ответ: -4; -3; 3
Ответ: -4; -3; 3

Тип 3. Уравнение, где левая скобка является полным квадратом правой скобки

Переносим все в левую часть, выносим повторяющуюся скобку, получаем сомножители, которые приравниваем к нулю.

Ответ: -3; -1; 2
Ответ: -3; -1; 2

Тип 4. Сумма двух квадратов равна нулю

Сумма двух чисел равна нулю тогда, когда оба эти числа равны нулю или тогда, когда числа являются противоположными, то есть имеют одинаковое абсолютное значение, но различаются знаками (+/-). Например, 6 и -6, 100 и -100. Однако, в уравнении сумма квадратов, а число в четной степени не может быть отрицательным, поэтому последний вариант отпадает. Значит, оба слагаемых могут принимать только нулевые значения. Приравниваем каждую скобку к нулю, решаем и выбираем корень, при котором обе скобки будут равны нулю.

Ответ: -6
Ответ: -6