Найти в Дзене

Посёлок C находится между городами A и B, причём расстояние между A и C равно 36 км

Посёлок C находится между городами A и B, причём расстояние между A и C равно 36 км. Одновременно из города A выехал грузовик, а из города B – мотоцикл, скорость мотоциклиста в два раза больше скорости грузовика. Найдите расстояние между городами A и B, если в посёлок C грузовик и мотоцикл прибыли в одно и то же время. 1. Посёлок C расположен между городами A и B. 2. Расстояние от города A до посёлка C равно 36 км. 3. Из города A одновременно выезжает грузовик, а из города B – мотоцикл. 4. Скорость мотоциклиста в два раза превышает скорость грузовика. 5. Грузовик и мотоцикл прибывают в посёлок C в одно и то же время. Определить расстояние между городами A и B. • Пусть x (км/ч) — это скорость грузовика. • Тогда 2x (км/ч) — это скорость мотоцикла, так как она в два раза больше скорости грузовика. • Мы знаем, что расстояние от A до C равно 36 км. Это расстояние проехал грузовик. • Пусть S (км) — это общее расстояние между городами A и B. Это то, что мы ищем. • Поскольку посёлок C нах
Оглавление

Посёлок C находится между городами A и B, причём расстояние между A и C равно 36 км. Одновременно из города A выехал грузовик, а из города B – мотоцикл, скорость мотоциклиста в два раза больше скорости грузовика. Найдите расстояние между городами A и B, если в посёлок C грузовик и мотоцикл прибыли в одно и то же время.

Дано:

1. Посёлок C расположен между городами A и B.

2. Расстояние от города A до посёлка C равно 36 км.

3. Из города A одновременно выезжает грузовик, а из города B – мотоцикл.

4. Скорость мотоциклиста в два раза превышает скорость грузовика.

5. Грузовик и мотоцикл прибывают в посёлок C в одно и то же время.

Требуется:

Определить расстояние между городами A и B.

Теперь определим переменные, которые помогут нам составить уравнение:

• Пусть x (км/ч) — это скорость грузовика.

• Тогда 2x (км/ч) — это скорость мотоцикла, так как она в два раза больше скорости грузовика.

• Мы знаем, что расстояние от A до C равно 36 км. Это расстояние проехал грузовик.

• Пусть S (км) — это общее расстояние между городами A и B. Это то, что мы ищем.

• Поскольку посёлок C находится между A и B, и расстояние AC = 36 км, то расстояние от посёлка C до города B будет равно S - 36 (км). Это расстояние проехал мотоцикл.

Составление Уравнения

Как мы уже отметили, ключевое условие задачи — это то, что грузовик и мотоцикл прибыли в посёлок C в одно и то же время. Это означает, что время, затраченное грузовиком, равно времени, затраченному мотоциклистом:

Время грузовика = Время мотоцикла

Используя выражения для времени t = s : v, получаем уравнение:

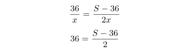
36/x = S - 36/2x

-2

Решение Уравнения

Теперь приступим к алгебраическому решению уравнения, чтобы найти S.

1. Избавляемся от знаменателей:

Чтобы упростить уравнение, умножим обе его части на 2x.

36/x ×2x = S - 36/2x ×2x

2. После умножения x в левой части и 2x в правой части сокращаются:

36 ×2 = S - 36

72 = S - 36

3. Чтобы найти S, нам нужно перенести все остальные числа на одну сторону уравнения:

S = 72 + 36

S = 108

-3

Ответ: Расстояние между городами A и B равно 108 км.