Найти в Дзене
Андрей Куликов

Показательная регрессия на Borland Turbo Basic'е

......................................................"Даром дадено, даром давайте", - Исус Христос. Версия 2025.12.18. В справочнике Дьяконова [1] приведено небольшое описание и
программа 5.21 показательной регрессии на Basic'е для карманного компьютера CASIO FX-702P, доступного только для немногих. Автор этой статьи сделал перевод этой программы на Borland Turbo Basic, доступный для многих пользователей MS-DOS и Windows. Параметры a и b показательной функции: находятся из решения системы из двух уравнений: Рис.1. Снимок с экрана результата прогона программы 5-21.BAS с контрольным примером из справочника Дьяконова в компиляторе Borland Turbo Basic. Литература: 1. Д ь я к о н о в В. П. Справочник по алгоритмам и программам на языке бейсик для персональных ЭВМ: Справочник. — М.: Наука. Гл. ред. физ.-мат. лит., 1989. — 240 с. — ISBN 5-02-014530-0. Файл: Dyakonov_Spravochnik.djvu Приложения: 1. Программа: 5-21.BAS 2. Архив с Borland Turbo Basic: TB.rar 3. Руководство по Borland Turbo Bas

......................................................"Даром дадено, даром давайте", - Исус Христос.

Версия 2025.12.18.

В справочнике Дьяконова [1] приведено небольшое описание и
программа 5.21 показательной регрессии на Basic'е для карманного компьютера CASIO FX-702P, доступного только для немногих. Автор этой статьи сделал перевод этой программы на Borland Turbo Basic, доступный для многих пользователей MS-DOS и Windows.

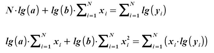
Параметры a и b показательной функции:

находятся из решения системы из двух уравнений:

-2
-3

Рис.1. Снимок с экрана результата прогона программы 5-21.BAS с контрольным примером из справочника Дьяконова в компиляторе Borland Turbo Basic.

Программа 5-21.BAS на Borland Turbo Basic'е

-4

Литература:

1. Д ь я к о н о в В. П. Справочник по алгоритмам и программам на языке бейсик для персональных ЭВМ: Справочник. — М.: Наука. Гл. ред. физ.-мат. лит., 1989. — 240 с. — ISBN 5-02-014530-0. Файл: Dyakonov_Spravochnik.djvu

Приложения:

1. Программа: 5-21.BAS

2. Архив с Borland Turbo Basic: TB.rar

3. Руководство по Borland Turbo Basic: TBASIC.TXT