Добавить в корзинуПозвонить
Найти в Дзене

Уравнение, которое зарабатывает деньги. Модель Блэка-Шоулза. Часть 3.

В прошлый раз мы обсудили вспомогательные конструкции финансовой математики, а сегодня наконец-то попробуем вывести уравнение Блэка — Шоулза. Мы должны помнить, что мы находимся в исходных предположениях модели, которые мы делали во второй части, пока главное для нас, что система состоит как минимум из одного рискового и безрискового активов. Давайте введем некоторые переменные, пусть: Рынок: t — время в годах; r — доходность безрискового актива, для простоты ОФЗ (облигации федерального займа). Актив: S(t) — цена базового актива в момент времени t; μ — скорость дрейфа (то есть это производная от функции дрейфа, которую мы вводили во второй части); σ — стандартное отклонение доходности акций (это квадратный корень из дисперсии процесса роста акций, т. е. показатель их волатильности). Давайте попробуем подумать, что такое волатильность. Допустим, у нас есть какое-то ожидаемое среднее значение цены на базовый актив, так вот волатильность нам будет показывать, насколько мы отбегаем от это
Оглавление

В прошлый раз мы обсудили вспомогательные конструкции финансовой математики, а сегодня наконец-то попробуем вывести уравнение Блэка — Шоулза.

Мы должны помнить, что мы находимся в исходных предположениях модели, которые мы делали во второй части, пока главное для нас, что система состоит как минимум из одного рискового и безрискового активов.

Переменные

Давайте введем некоторые переменные, пусть:

Рынок:

t — время в годах;

r — доходность безрискового актива, для простоты ОФЗ (облигации федерального займа).

Актив:

S(t) — цена базового актива в момент времени t;

μ — скорость дрейфа (то есть это производная от функции дрейфа, которую мы вводили во второй части);

σ — стандартное отклонение доходности акций (это квадратный корень из дисперсии процесса роста акций, т. е. показатель их волатильности).

Давайте попробуем подумать, что такое волатильность. Допустим, у нас есть какое-то ожидаемое среднее значение цены на базовый актив, так вот волатильность нам будет показывать, насколько мы отбегаем от этого среднего значения.

Опцион:

V(t, S) — цена опциона, функция базового актива в момент времени t. Мне кажется очевидно, что эта функция многих переменных, так как цена опциона будет зависеть от того, какой актив мы покупаем.

К(S) — страйк опциона или цена исполнения.

Вывод уравнения

В прошлый раз мы говорили, что цена на базовый актив подчиняется закону геометрического броуновского движения, то есть является винеровским процессом. Тогда

где W - винеровский процесс, также стоить отметить из-за того что это случайная величина изменение dW будет в любой промежуток времени равна нулю, тогда получим, что ожидаемое среднее значение равно **μ**dt и дисперсию σ * σ dt

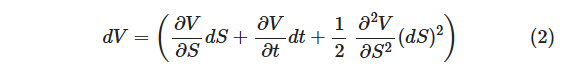
Мы хотим оцени опцион, в момент времени t = T выплата V(S,T) известна(если у нас call-опцион: V(S,T) = max(S-K,0)). Нам бы хотелось узнать сколько стоил опцион раньше при t < T, то есть узнаем V(S,t), для этого найдем его дифференциал

-2

Теперь поставим формулу (1) в (2)

Получим окончательную формулу:

-3

Теперь представим что у нас есть портфель П состоящий из опциона и акций:

-4

Так как цена акции меняется со временем, мы предполагаем что у нас есть определенный счет для покупки и продажи акции, то есть предполагаем, что портфель самофинансируемый, то есть покупка одного актива происходит за счет продажи второго не финансируя деньги из внешних источников.

Тогда изменение стоимости активов в портфеле:

-5

Подставляем сюда наши формулу (1),(3) получим:

-6

Мы рассматривали изменение на произвольном промежутке, давайте теперь возьмем какой то достаточно коротки фиксированный промежуток t, t+dt:

-7

Стоит отметить, что ты в этих выражениях нет изменения случайной величины, то есть мы хеджировали свой портфель или исключили риски. Еще очень важно, чтобы доходность такого портфеля была равна доходности безрискового инструмента, иначе возникнет возможность для арбитража, поэтому:

-8

Теперь подставим, то что мы получили:

-9

Сократим на dt получим уравнение Блэка - Шоулза:

-10

Получили дифференциальное уравнение в частных производных, которое при определенных предположениях совпадает с уравнением диффузии, также оно справедливо для любого типа опционов, если функция V(t,S) дважды непрерывно дифференцируема по S и один раз по t.

В следующей части мы обсудим, как же можно решить это уравнение и какую финансовую интерпретацию оно нам дает.