Π”ΠΎΠ±Π°Π²ΠΈΡ‚ΡŒ Π² ΠΊΠΎΡ€Π·ΠΈΠ½ΡƒΠŸΠΎΠ·Π²ΠΎΠ½ΠΈΡ‚ΡŒ
Найти Π² Π”Π·Π΅Π½Π΅

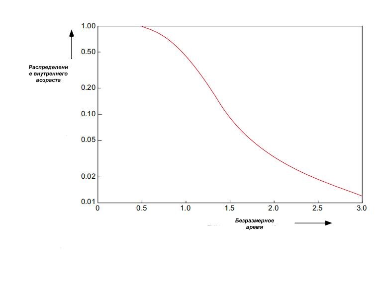
πŸ“ŠΠ’ΠΈΠ·ΡƒΠ°Π»ΠΈΠ·ΠΈΡ€ΡƒΠ΅ΠΌ RTD: Π§Ρ‚ΠΎ ΠΏΠΎΠΊΠ°Π·Ρ‹Π²Π°Π΅Ρ‚ кривая одношнСкового экструдСра

? Π’ ΠΏΡ€ΠΎΡˆΠ»Ρ‹Ρ… постах ΠΌΡ‹ Π³ΠΎΠ²ΠΎΡ€ΠΈΠ»ΠΈ ΠΎ РаспрСдСлСнии Π’Ρ€Π΅ΠΌΠ΅Π½ΠΈ ΠŸΡ€Π΅Π±Ρ‹Π²Π°Π½ΠΈΡ (RTD) ΠΈ Π΅Π³ΠΎ влиянии Π½Π° Π΄Π΅Π³Ρ€Π°Π΄Π°Ρ†ΠΈΡŽ ΠΏΠΎΠ»ΠΈΠΌΠ΅Ρ€ΠΎΠ². Π’Π΅ΠΏΠ΅Ρ€ΡŒ Π΄Π°Π²Π°ΠΉΡ‚Π΅ посмотрим Π½Π° ΠΊΠΎΠ½ΠΊΡ€Π΅Ρ‚Π½Ρ‹ΠΉ ΠΏΡ€ΠΈΠΌΠ΅Ρ€ ΠΈ Ρ€Π°Π·Π±Π΅Ρ€Π΅ΠΌ, Ρ‡Ρ‚ΠΎ Π½Π°ΠΌ "Π³ΠΎΠ²ΠΎΡ€ΠΈΡ‚" типичная RTD-кривая для одношнСкового экструдСра! (ΠŸΡ€Π΅Π΄ΡΡ‚Π°Π²ΡŒΡ‚Π΅, Ρ‡Ρ‚ΠΎ ΠΏΠ΅Ρ€Π΅Π΄ Π²Π°ΠΌΠΈ Π³Ρ€Π°Ρ„ΠΈΠΊ, ΠΊΠ°ΠΊ Π½Π° рисункС) Π§Ρ‚ΠΎ ΠΌΡ‹ Π²ΠΈΠ΄ΠΈΠΌ Π½Π° этом Π³Ρ€Π°Ρ„ΠΈΠΊΠ΅? Π­Ρ‚ΠΎ кумулятивная кривая RTD для одношнСкового экструдСра. β€’ По оси X (Π³ΠΎΡ€ΠΈΠ·ΠΎΠ½Ρ‚Π°Π»ΡŒ): "Π‘Π΅Π·Ρ€Π°Π·ΠΌΠ΅Ρ€Π½ΠΎΠ΅ врСмя". β€’ Π­Ρ‚ΠΎ Π½Π΅ Ρ€Π΅Π°Π»ΡŒΠ½Ρ‹Π΅ ΠΌΠΈΠ½ΡƒΡ‚Ρ‹, Π° "коэффициСнт" ΠΎΡ‚Π½ΠΎΡΠΈΡ‚Π΅Π»ΡŒΠ½ΠΎ срСднСго Π²Ρ€Π΅ΠΌΠ΅Π½ΠΈ прСбывания. Π’ΠΎ Π΅ΡΡ‚ΡŒ, Π·Π½Π°Ρ‡Π΅Π½ΠΈΠ΅ "1.0" Π½Π° оси X ΠΎΠ·Π½Π°Ρ‡Π°Π΅Ρ‚ Ρ€ΠΎΠ²Π½ΠΎ срСднСС врСмя прСбывания ΠΌΠ°Ρ‚Π΅Ρ€ΠΈΠ°Π»Π° Π² экструдСрС. "2.0" – это Π² Π΄Π²Π° Ρ€Π°Π·Π° дольшС срСднСго, "3.0" – Π² Ρ‚Ρ€ΠΈ Ρ€Π°Π·Π° дольшС ΠΈ Ρ‚Π°ΠΊ Π΄Π°Π»Π΅Π΅. β€’ По оси Y (Π²Π΅Ρ€Ρ‚ΠΈΠΊΠ°Π»ΡŒ): "РаспрСдСлСниС Π²Π½ΡƒΡ‚Ρ€Π΅Π½Π½Π΅Π³ΠΎ возраста". β€’ Π­Ρ‚Π° ось (с логарифмичСской шкалой, ΠΎΡ‚ 0.01 Π΄ΠΎ 1.00) ΠΏΠΎΠΊΠ°Π·Ρ‹Π²Π°Π΅Ρ‚ долю ΠΌΠ°Ρ‚Π΅Ρ€ΠΈΠ°Π»Π° (Π² ΠΏΡ€ΠΎΡ†Π΅Π½Ρ‚Π°Ρ… ΠΎΡ‚ ΠΎΠ±Ρ‰Π΅Π³ΠΎ объСма, ΠΊΠΎΡ‚ΠΎΡ€Ρ‹ΠΉ находится Π²Π½ΡƒΡ‚Ρ€ΠΈ экструдСра), ΠΊΠΎΡ‚ΠΎΡ€Ρ‹ΠΉ ΠΏΡ€ΠΎΠ±Ρ‹Π» Π² машинС дольшС, Ρ‡Π΅ΠΌ ΡƒΠΊΠ°Π·Π°Π½Π½ΠΎΠ΅ Π±Π΅Π·Ρ€Π°Π·ΠΌΠ΅Ρ€Π½ΠΎΠ΅ врСмя. ΠšΡ€ΠΈΠ²Π°Ρ начинаСтся с 1.0 (100%

πŸ“ŠΠ’ΠΈΠ·ΡƒΠ°Π»ΠΈΠ·ΠΈΡ€ΡƒΠ΅ΠΌ RTD: Π§Ρ‚ΠΎ ΠΏΠΎΠΊΠ°Π·Ρ‹Π²Π°Π΅Ρ‚ кривая одношнСкового экструдСра?

Π’ ΠΏΡ€ΠΎΡˆΠ»Ρ‹Ρ… постах ΠΌΡ‹ Π³ΠΎΠ²ΠΎΡ€ΠΈΠ»ΠΈ ΠΎ РаспрСдСлСнии Π’Ρ€Π΅ΠΌΠ΅Π½ΠΈ ΠŸΡ€Π΅Π±Ρ‹Π²Π°Π½ΠΈΡ (RTD) ΠΈ Π΅Π³ΠΎ влиянии Π½Π° Π΄Π΅Π³Ρ€Π°Π΄Π°Ρ†ΠΈΡŽ ΠΏΠΎΠ»ΠΈΠΌΠ΅Ρ€ΠΎΠ². Π’Π΅ΠΏΠ΅Ρ€ΡŒ Π΄Π°Π²Π°ΠΉΡ‚Π΅ посмотрим Π½Π° ΠΊΠΎΠ½ΠΊΡ€Π΅Ρ‚Π½Ρ‹ΠΉ ΠΏΡ€ΠΈΠΌΠ΅Ρ€ ΠΈ Ρ€Π°Π·Π±Π΅Ρ€Π΅ΠΌ, Ρ‡Ρ‚ΠΎ Π½Π°ΠΌ "Π³ΠΎΠ²ΠΎΡ€ΠΈΡ‚" типичная RTD-кривая для одношнСкового экструдСра!

(ΠŸΡ€Π΅Π΄ΡΡ‚Π°Π²ΡŒΡ‚Π΅, Ρ‡Ρ‚ΠΎ ΠΏΠ΅Ρ€Π΅Π΄ Π²Π°ΠΌΠΈ Π³Ρ€Π°Ρ„ΠΈΠΊ, ΠΊΠ°ΠΊ Π½Π° рисункС)

Π§Ρ‚ΠΎ ΠΌΡ‹ Π²ΠΈΠ΄ΠΈΠΌ Π½Π° этом Π³Ρ€Π°Ρ„ΠΈΠΊΠ΅?

Π­Ρ‚ΠΎ кумулятивная кривая RTD для одношнСкового экструдСра.

β€’ По оси X (Π³ΠΎΡ€ΠΈΠ·ΠΎΠ½Ρ‚Π°Π»ΡŒ): "Π‘Π΅Π·Ρ€Π°Π·ΠΌΠ΅Ρ€Π½ΠΎΠ΅ врСмя".

β€’ Π­Ρ‚ΠΎ Π½Π΅ Ρ€Π΅Π°Π»ΡŒΠ½Ρ‹Π΅ ΠΌΠΈΠ½ΡƒΡ‚Ρ‹, Π° "коэффициСнт" ΠΎΡ‚Π½ΠΎΡΠΈΡ‚Π΅Π»ΡŒΠ½ΠΎ срСднСго Π²Ρ€Π΅ΠΌΠ΅Π½ΠΈ прСбывания. Π’ΠΎ Π΅ΡΡ‚ΡŒ, Π·Π½Π°Ρ‡Π΅Π½ΠΈΠ΅ "1.0" Π½Π° оси X ΠΎΠ·Π½Π°Ρ‡Π°Π΅Ρ‚ Ρ€ΠΎΠ²Π½ΠΎ срСднСС врСмя прСбывания ΠΌΠ°Ρ‚Π΅Ρ€ΠΈΠ°Π»Π° Π² экструдСрС. "2.0" – это Π² Π΄Π²Π° Ρ€Π°Π·Π° дольшС срСднСго, "3.0" – Π² Ρ‚Ρ€ΠΈ Ρ€Π°Π·Π° дольшС ΠΈ Ρ‚Π°ΠΊ Π΄Π°Π»Π΅Π΅.

β€’ По оси Y (Π²Π΅Ρ€Ρ‚ΠΈΠΊΠ°Π»ΡŒ): "РаспрСдСлСниС Π²Π½ΡƒΡ‚Ρ€Π΅Π½Π½Π΅Π³ΠΎ возраста".

β€’ Π­Ρ‚Π° ось (с логарифмичСской шкалой, ΠΎΡ‚ 0.01 Π΄ΠΎ 1.00) ΠΏΠΎΠΊΠ°Π·Ρ‹Π²Π°Π΅Ρ‚ долю ΠΌΠ°Ρ‚Π΅Ρ€ΠΈΠ°Π»Π° (Π² ΠΏΡ€ΠΎΡ†Π΅Π½Ρ‚Π°Ρ… ΠΎΡ‚ ΠΎΠ±Ρ‰Π΅Π³ΠΎ объСма, ΠΊΠΎΡ‚ΠΎΡ€Ρ‹ΠΉ находится Π²Π½ΡƒΡ‚Ρ€ΠΈ экструдСра), ΠΊΠΎΡ‚ΠΎΡ€Ρ‹ΠΉ ΠΏΡ€ΠΎΠ±Ρ‹Π» Π² машинС дольшС, Ρ‡Π΅ΠΌ ΡƒΠΊΠ°Π·Π°Π½Π½ΠΎΠ΅ Π±Π΅Π·Ρ€Π°Π·ΠΌΠ΅Ρ€Π½ΠΎΠ΅ врСмя. ΠšΡ€ΠΈΠ²Π°Ρ начинаСтся с 1.0 (100% ΠΌΠ°Ρ‚Π΅Ρ€ΠΈΠ°Π»Π° ΠΏΡ€ΠΎΠ±Ρ‹Π»ΠΎ Π² экструдСрС дольшС 0 Π±Π΅Π·Ρ€Π°Π·ΠΌΠ΅Ρ€Π½ΠΎΠ³ΠΎ Π²Ρ€Π΅ΠΌΠ΅Π½ΠΈ) ΠΈ постСпСнно сниТаСтся.

Π§Ρ‚ΠΎ ΠΌΠΎΠΆΠ½ΠΎ "Π²Ρ‹Ρ‡ΠΈΡ‚Π°Ρ‚ΡŒ" ΠΈΠ· этого Π³Ρ€Π°Ρ„ΠΈΠΊΠ° Π½Π° ΠΏΡ€ΠΈΠΌΠ΅Ρ€Π΅?

Π’ΠΎΠ·ΡŒΠΌΠ΅ΠΌ гипотСтичСский случай ΠΈΠ· ΠΏΡ€Π΅Π΄Ρ‹Π΄ΡƒΡ‰Π΅Π³ΠΎ поста:

β€’ Допустим, срСднСС врСмя прСбывания Π² нашСм экструдСрС составляСт 5,9 ΠΌΠΈΠ½ΡƒΡ‚. Π­Ρ‚ΠΎ соотвСтствуСт Π·Π½Π°Ρ‡Π΅Π½ΠΈΡŽ 1.0 Π½Π° оси X.

β€’ НайдСм Π½Π° оси X Π·Π½Π°Ρ‡Π΅Π½ΠΈΠ΅ 3.0 (Ρ‡Ρ‚ΠΎ ΠΎΠ·Π½Π°Ρ‡Π°Π΅Ρ‚ врСмя, Π² 3 Ρ€Π°Π·Π° ΠΏΡ€Π΅Π²Ρ‹ΡˆΠ°ΡŽΡ‰Π΅Π΅ срСднСС: 3 Γ— 5,9 = 17,7 ΠΌΠΈΠ½ΡƒΡ‚).

β€’ Если ΠΌΡ‹ посмотрим, ΠΊΠ°ΠΊΠΎΠ΅ Π·Π½Π°Ρ‡Π΅Π½ΠΈΠ΅ Π½Π° оси Y соотвСтствуСт X = 3.0, Ρ‚ΠΎ ΡƒΠ²ΠΈΠ΄ΠΈΠΌ ΠΏΡ€ΠΈΠΌΠ΅Ρ€Π½ΠΎ 0.01, ΠΈΠ»ΠΈ 1%!

Π’Ρ‹Π²ΠΎΠ΄:

Π­Ρ‚ΠΎ ΠΎΠ·Π½Π°Ρ‡Π°Π΅Ρ‚, Ρ‡Ρ‚ΠΎ 1% всСго ΠΌΠ°Ρ‚Π΅Ρ€ΠΈΠ°Π»Π°, находящСгося Π² экструдСрС, ΠΏΡ€ΠΎΠ±Ρ‹Π» Ρ‚Π°ΠΌ ΡƒΠΆΠ΅ 17,7 ΠΌΠΈΠ½ΡƒΡ‚ ΠΈΠ»ΠΈ Π΄Π°ΠΆΠ΅ дольшС!

β€’ ΠŸΠΎΡ‡Π΅ΠΌΡƒ это Π²Π°ΠΆΠ½ΠΎ? Если ваш ΠΏΠΎΠ»ΠΈΠΌΠ΅Ρ€ ΠΏΡ€ΠΈ Ρ€Π°Π±ΠΎΡ‡Π΅ΠΉ Ρ‚Π΅ΠΌΠΏΠ΅Ρ€Π°Ρ‚ΡƒΡ€Π΅ Π½Π°Ρ‡ΠΈΠ½Π°Π΅Ρ‚ Π΄Π΅Π³Ρ€Π°Π΄ΠΈΡ€ΠΎΠ²Π°Ρ‚ΡŒ ΠΌΠ΅Π½Π΅Π΅ Ρ‡Π΅ΠΌ Π·Π° 17,7 ΠΌΠΈΠ½ΡƒΡ‚, Ρ‚ΠΎ, ΡƒΠ²Ρ‹, этот 1% ΠΌΠ°Ρ‚Π΅Ρ€ΠΈΠ°Π»Π° ΡƒΠΆΠ΅ Π±ΡƒΠ΄Π΅Ρ‚ Π΄Π΅Π³Ρ€Π°Π΄ΠΈΡ€ΠΎΠ²Π°Π½ ΠΊ ΠΌΠΎΠΌΠ΅Π½Ρ‚Ρƒ Π²Ρ‹Ρ…ΠΎΠ΄Π° ΠΈΠ· экструдСра. Π­Ρ‚ΠΎ прямой ΠΏΡƒΡ‚ΡŒ ΠΊ сниТСнию качСства ΠΏΡ€ΠΎΠ΄ΡƒΠΊΡ†ΠΈΠΈ!

Π­Ρ‚Π° кривая наглядно дСмонстрируСт, Ρ‡Ρ‚ΠΎ Π΄Π°ΠΆΠ΅ Π², казалось Π±Ρ‹, Ρ…ΠΎΡ€ΠΎΡˆΠΎ спроСктированном одношнСковом экструдСрС всСгда Π΅ΡΡ‚ΡŒ нСбольшая, Π½ΠΎ критичСски ваТная Ρ‡Π°ΡΡ‚ΡŒ ΠΌΠ°Ρ‚Π΅Ρ€ΠΈΠ°Π»Π°, которая задСрТиваСтся Π³ΠΎΡ€Π°Π·Π΄ΠΎ дольшС срСднСго. ПониманиС этого β€” ваТнСйший шаг ΠΊ ΠΊΠΎΠ½Ρ‚Ρ€ΠΎΠ»ΡŽ качСства ΠΈ ΠΏΡ€Π΅Π΄ΠΎΡ‚Π²Ρ€Π°Ρ‰Π΅Π½ΠΈΡŽ Π΄Π΅Π³Ρ€Π°Π΄Π°Ρ†ΠΈΠΈ!

#RTD #экструзия #ΠΏΠΎΠ»ΠΈΠΌΠ΅Ρ€Ρ‹ #ΠΌΠ°Ρ‚Π΅Ρ€ΠΈΠ°Π»ΠΎΠ²Π΅Π΄Π΅Π½ΠΈΠ΅ #производствопластика #ΠΊΠΎΠ½Ρ‚Ρ€ΠΎΠ»ΡŒΠΊΠ°Ρ‡Π΅ΡΡ‚Π²Π° #инТСнСрия #Ρ‚Π΅Ρ…Π½ΠΎΠ»ΠΎΠ³ΠΈΠΈ