Найти в Дзене
CatScience

Алгебраический язык Виета

Всем ъуъ. Франция дала нам кучу знаменитейших учёных (и даже не все из них съели калач копчёный, если вы понимаете). Например, все знают, что сила тока измеряется в амперах. А, собственно, Андре-Мари Ампер, в честь которого названа сия единица измерения, является расовым французом. Из физиков сходу вспоминаются Лавуазье, Паскаль (это который Ньютон на квадратный метр из анекдота), Луи де Бройль, куча Беккерелей или Гей-Люссак (несмотря на фамилию, таки не гей). А из математиков можно вспомнить, к примеру, Пуанкаре (именно его гипотезу доказал Перельман, отказавшийся от миллиона долларов, который был назначен в награду за это доказательство), Лапласа, Фурье или Лагранжа. Но мы сегодня поговорим о Франсуа Виете и его алгебраическом языке. Итак, Виет родился во Франции (что характерно), а конкретнее, в местечке Фонтене-ле-Конт в 1543 году. Изначально он был достаточно успешным юристом, но позже увлёкся математикой, что в очередной раз доказывает, что талантливый человек при должном трудол
Сам математик
Сам математик

Всем ъуъ. Франция дала нам кучу знаменитейших учёных (и даже не все из них съели калач копчёный, если вы понимаете). Например, все знают, что сила тока измеряется в амперах. А, собственно, Андре-Мари Ампер, в честь которого названа сия единица измерения, является расовым французом. Из физиков сходу вспоминаются Лавуазье, Паскаль (это который Ньютон на квадратный метр из анекдота), Луи де Бройль, куча Беккерелей или Гей-Люссак (несмотря на фамилию, таки не гей). А из математиков можно вспомнить, к примеру, Пуанкаре (именно его гипотезу доказал Перельман, отказавшийся от миллиона долларов, который был назначен в награду за это доказательство), Лапласа, Фурье или Лагранжа. Но мы сегодня поговорим о Франсуа Виете и его алгебраическом языке.

Итак, Виет родился во Франции (что характерно), а конкретнее, в местечке Фонтене-ле-Конт в 1543 году. Изначально он был достаточно успешным юристом, но позже увлёкся математикой, что в очередной раз доказывает, что талантливый человек при должном трудолюбии способен быть успешным как на гуманитарном поприще, так и в естественных науках. Известным математиком наш герой стал уже после 30, и это намекает, что начать делать что-то новое никогда не поздно. А вот что он сделал - об этом сейчас и поговорим.

В школе мы все привыкли к записи уравнений по типу 2x^2+1=9. А как записывали такие уравнения наши предки, скажем, в Средние века? Ну давайте произнесём эту формулу вслух: “два икс в квадрате плюс один равно девяти”. Теперь вспомним, что вообще-то обозначать неизвестные иксом придумал некий Декарт (кстати говоря, тоже француз), поэтому придётся вместо икса написать “неизвестная”. Из более интересных новостей - знаков “плюс” и “равно” тоже ещё не придумали, а если и придумали, то в общем пользовании их не было. Заменяем их на “прибавить” и “равняется”, что ещё остаётся. Ой, а у вас тут квадрат, а что это такое? В то время, конечно же, знали про степени, но писали их либо через умножение (знака которого, кстати, опять-таки ещё не существует), либо писали “квадрат”, “куб”, “квадрат квадрата” и так далее.

-2

Таким образом, упрощая момент с тем, что арабские цифры ещё не стали общепринятыми в Европе, получаем запись “2 неизвестное умножить на неизвестное прибавить 1 будет равно 9”. Вуаля, вы готовый средневековый математик! А теперь вспомним, что книгопечатание придумали только в XV веке, и представим, сколько труда и бумаги стоило написать и размножить простейший сборник задач какого-нибудь Мордковича. Благо всеобщего образования ещё не было.

Что же такого сделал Виет? Он предложил достаточно новаторский, хоть и частично использовавшийся ранее подход, объединив лучшие идеи из прошлого и добавив что-то своё. Во-первых, вместо того, чтобы сначала решать частные случаи по типу уравнения, предложенного выше, он сначала приводил решение для общего случая, а потом уже на примерах показывал, как это работает. Далее, именно Виет придумал термин “коэффициент” для числовых параметров уравнения. В своей записи он обозначал гласными латинскими буквами неизвестные, а согласными - те самые коэффициенты. Более того, в записях Виет использует знаки сложения, вычитания и дробей для деления практически в современном виде - если опустить длину горизонтальных чёрточек у его плюса и минуса (что несомненно символизирует), они выглядят так же, как и сейчас. Из архаики - учёный не придумал знак умножения, записывая его предлогом “in”. Да и знак равенства, который придумал клятый англичанин Роберт Рекорд, до Виета не добрался. А обозначение степеней вообще придумал тот самый некий Декарт (который мыслит, следовательно, существует), но во время жизни Виета он ещё не мыслил, следовательно, не существовал, так что нашему герою пришлось записывать степени словами.

Что же мы получили в итоге? Вспоминаем уравнение из начала текста. Как бы его записал Виет? Не хочу переводить на латынь, так что будем писать по-русски: “2 умножить на A в квадрате + 1 равняется 9” (A - потому что, как написано выше, неизвестные он обозначал гласными буквами). Сравним с записью, которую мы сделали раньше, и убедимся, что Виет реально упростил задачу записи алгебраических выражений. Собственно, до Декарта, который привёл алгебраический язык практически к современному виду, математики использовали именно язык Виета.

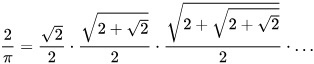
У Виета было немало и других достижений. Да-да, вы уже наверняка вспомнили про формулы Виета, с помощью которых в школе мы решали квадратные уравнения. Спойлер - эти формулы работают на все уравнения более высоких степеней, просто для квадратного уравнения они запоминаются и применяются легче всего. А для уравнений высоких степеней весьма полезен лайфхак - если коэффициент перед старшим членом уравнения (старший член - это член наиболее высокой степени) равен единице, то, если уравнение имеет целочисленное решение, то свободный член (т.е. член без неизвестных) обязательно будет делиться на это решение. Когда я в школе решал квадратные уравнения, то быстро перебирал делители свободного члена и где-то секунд за 30-40 выдавал правильный ответ. Но ещё наш герой, например, первым выдал приближение числа π через бесконечное число операций.

Какова же мораль из всего вышеизложенного? Во-первых, никогда не поздно сменить специальность. Во-вторых, если вы придумали реально удобный способ записи чего-либо - можно об этом рассказать, и, если народ заценит, в честь вас обязательно что-нибудь назовут.

На этом всё. Всем обратный ъуъ!

Автор: Денис Матюнин