Найти в Дзене
Просто Училка. Методичка

Бдительным родителям: краткий обзор тем по математике 7 класса. Неделя 14

7 класс. Геометрия Треугольники. Решаем, доказываем, учим. Для разнообразия предлагаем решить пару задач из полугодовой работы классов Матвертикали. Не самые сложные, но дадут картину понимания материала вашим ребенком. 7 класс. Алгебра Одночлены и работа с ними. Обычно, сложностей тема не вызывает. Она очень шаблонная. Пара правил и отработка. Краткий обзор темы «Одночлены» Определение одночлена Одночлен — это выражение, которое состоит из произведения чисел, переменных и их степеней. Например: 3𝑎²𝑏 Состав одночлена Любой одночлен включает три компонента: - Коэффициент: числовой множитель перед буквенными символами (переменными). - Переменная: буква, обозначающая неизвестное число. - Степень переменной: показатель степени, стоящий над каждой переменной. Например, в одночлене −8𝑥³𝑦𝑧: Коэффициент равен −8. Переменные: 𝑥, 𝑦, 𝑧. Степени переменных: 𝑥³, 𝑦¹, 𝑧¹. Стандартный вид одночлена Для удобства вычислений и сравнения одночлены записывают в стандартном виде: - Буквенные ч
Оглавление

7 класс. Геометрия

Треугольники. Решаем, доказываем, учим. Для разнообразия предлагаем решить пару задач из полугодовой работы классов Матвертикали. Не самые сложные, но дадут картину понимания материала вашим ребенком.

7 класс. Алгебра

Одночлены и работа с ними. Обычно, сложностей тема не вызывает. Она очень шаблонная. Пара правил и отработка.

Краткий обзор темы «Одночлены»

Определение одночлена

Одночлен — это выражение, которое состоит из произведения чисел, переменных и их степеней. Например:

3𝑎²𝑏

Состав одночлена

Любой одночлен включает три компонента:

- Коэффициент: числовой множитель перед буквенными символами (переменными).

- Переменная: буква, обозначающая неизвестное число.

- Степень переменной: показатель степени, стоящий над каждой переменной.

Например, в одночлене −8𝑥³𝑦𝑧:

  • Коэффициент равен −8.
  • Переменные: 𝑥, 𝑦, 𝑧.
  • Степени переменных: 𝑥³, 𝑦¹, 𝑧¹.

Стандартный вид одночлена

Для удобства вычислений и сравнения одночлены записывают в стандартном виде:

- Буквенные части располагаются в алфавитном порядке.

- Числовые коэффициенты ставятся впереди всех переменных.

Пример преобразования:
7𝑦𝑥²=7𝑥²𝑦

Подобные одночлены

Подобные одночлены имеют одинаковые буквенные части (переменные с одинаковыми показателями). Их можно складывать и вычитать.

Примеры подобных одночленов:
3𝑎𝑏² и −5𝑎𝑏²

Действия с одночленами

Основные операции над одночленами включают:

- Умножение одночленов: умножаются коэффициенты и складываются показатели степеней одинаковых переменных.

- Деление одночленов: делится коэффициент и вычитаются показатели степеней одинаковых переменных.

***

Для контроля уровня усвоения изученного ранее материала также задания из 1 части контрольной работы Матвертикали. Под силу тем, кто учится по базовой программе.

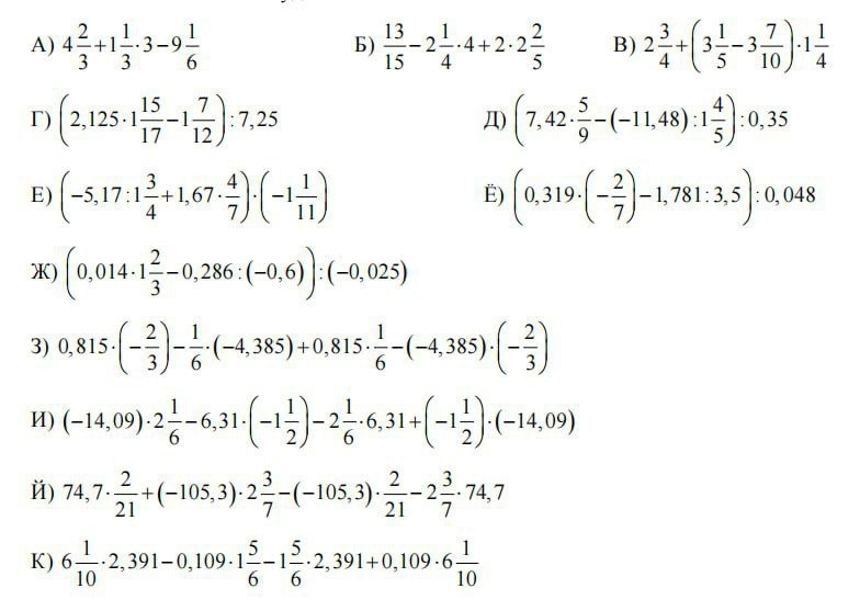
А повторение сегодня будет очень скучным. Но очень важным. Сбор информации по прошедшим пробникам показал, что арифметика - важнейшая часть математики и без нее никуда!

-2
-3
-4

❗️Если у вас появились трудные номера по темам поста, пишем сюда. Мы с завучем канала, Галиной Наильевной, постараемся помочь.

❗️Если у вас есть вопросы по другим темам седьмого класса, тоже пишите.

❗️Если у вас возникли срочные вопросы по другим классам во внеплановые дни, мы тоже постараемся помочь.

❗️В субботу будет продолжать выходить рубрика "Математическая помощь", в которой мы будем коротко освещать математические трудности недели и ждать ваших вопросов💯

-5

Подписаться на мой телеграм-канал нужно здесь👉:https://t.me/ProstoUchilkalive

Поддержать работу канала можно тут👉: Спасибо🙏