Добавить в корзинуПозвонить
Найти в Дзене

Интеллектуальные коммутаторы-распределители для применения в функциональной части бортовой аппаратуры космических кораблей

Предприятие XMTI (Xi’an Microelectronics Technology Institute) разрабатывает и поставляет коммутаторы‑распределители, предназначенные для использования в бортовой аппаратуре космических транспортных средств и иных космических систем.
Устройство представляет собой нормально замкнутое силовое предохранительное реле источника питания. Его ключевая функция — обеспечение защиты без смещения источника питания. После подачи смещения коммутатор‑распределитель позволяет управлять процессами включения и выключения посредством входного сигнала. Схема поддерживает два режима работы — защитный и коммутационный — через изолированный выход оперативного контроля. Устройство может выступать в качестве исполнительного коммутатора в интеллектуальной распределительной системе. Основные функции: ограничение тока; защита от перегрузки и короткого замыкания; защитная блокировка; обратная связь по состоянию. Коммутаторы‑распределители XMTI рассчитаны на эксплуатацию в широком температурном диапазоне от -55

Предприятие XMTI (Xi’an Microelectronics Technology Institute) разрабатывает и поставляет коммутаторы‑распределители, предназначенные для использования в бортовой аппаратуре космических транспортных средств и иных космических систем.

Устройство представляет собой нормально замкнутое силовое предохранительное реле источника питания.

Его ключевая функция — обеспечение защиты без смещения источника питания.

После подачи смещения коммутатор‑распределитель позволяет управлять процессами включения и выключения посредством входного сигнала.

Схема поддерживает два режима работы — защитный и коммутационный — через изолированный выход оперативного контроля. Устройство может выступать в качестве исполнительного коммутатора в интеллектуальной распределительной системе.

Основные функции:

  • ограничение тока;
  • защита от перегрузки и короткого замыкания;
  • защитная блокировка;
  • обратная связь по состоянию.

Коммутаторы‑распределители XMTI рассчитаны на эксплуатацию в широком температурном диапазоне от -55 до +125ºC. Характеризуются стойкостью к эффекту полной накопленной дозы 100 крад (Si) и стойкостью к одиночным эффектам при воздействии заряженных частиц с пороговыми линейными потерями энергии (ЛПЭ) до 75 МэВ·см2/мг.

Производство осуществляется в соответствии с требованиями национального стандарта GJB2438B-2017 «General Specification for Hybrid Integrated Circuits», который идентичен спецификации MIL-PRF-38534C «Hybrid Microcircuits, General Specification For» (США).

Предлагаются устройства с уровнями качества H и G.

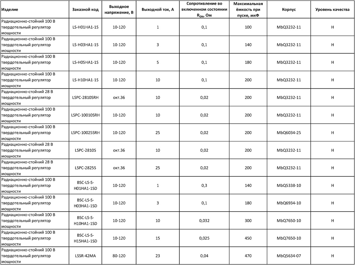
Основные технические параметры интеллектуальных коммутаторов-распределителей

-2

Для получения дополнительной информации по продукции XMTI обращайтесь по электронной почте info@prochip.ru

Источник: https://www.prochip.ru/news/intellektualnye-kommutatory-raspredeliteli-dlya-primeneniya-v-funktsionalnoy-chasti-bortovoy-apparat.html

Больше интересного – на медиапортале https://www.cta.ru/