Найти в Дзене
В.

Метод Ньютона и метод Галлея - фракталы.

Немного теории. Я уже писал про один из численных методов решения уравнений - метод Ньютона: Формула метода Ньютона для комплексных чисел. и бассейны Ньютона: Метод Галлея также является одним из численных методов решения уравнений, он наряду с первой производной учитывает и вторую производную функции. К сожалению, в русскоязычных википедиях и других популярных статьях интернета я не нашёл какое-либо описание этого метода. Конечно, учёные и профессионалы не нуждаются в википедии, но что делать любителям? Формула метода Галлея. Можно преобразовать эту формулу и тогда она примет следующий вид: Преобразованная формула метода Галлея. Вторая формула, во-первых, удобна для вычисления на компьютере: - f(x)/f'(x) мы вычисляем только раз; f''(x)/f'(x) очень хорошо упрощается во многих случаях, в том числе для функции f(x)=x**k - 1, которая и используется в моей программе. Более того, вторая формула наглядно показывает, что метод Галлея переходит в метод Ньютона, если вторая производная бл
Оглавление

Немного теории.

Я уже писал про один из численных методов решения уравнений - метод Ньютона:

Формула метода Ньютона для комплексных чисел.
Формула метода Ньютона для комплексных чисел.

и бассейны Ньютона:

Метод Ньютона и бассейны Ньютона.
В.6 декабря

Метод Галлея также является одним из численных методов решения уравнений, он наряду с первой производной учитывает и вторую производную функции.

К сожалению, в русскоязычных википедиях и других популярных статьях интернета я не нашёл какое-либо описание этого метода. Конечно, учёные и профессионалы не нуждаются в википедии, но что делать любителям?

Halley's method - Wikipedia

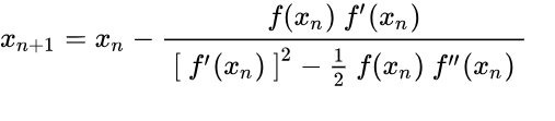
Формула метода Галлея.
Формула метода Галлея.

Можно преобразовать эту формулу и тогда она примет следующий вид:

Преобразованная формула метода Галлея.
Преобразованная формула метода Галлея.

Вторая формула, во-первых, удобна для вычисления на компьютере:

  • - f(x)/f'(x) мы вычисляем только раз;
  • f''(x)/f'(x) очень хорошо упрощается во многих случаях, в том числе для функции f(x)=x**k - 1, которая и используется в моей программе.

Более того, вторая формула наглядно показывает, что метод Галлея переходит в метод Ньютона, если вторая производная близка к нулю, или если пренебречь ею.

Так как метод Галлея более точный, чем метод Ньютона (потому что он дополнительно учитывает вторую производную), он имеет кубическую сходимость по сравнению с квадратичной сходимостью метода Ньютона.

Это значит, что корни находятся быстрее, за меньшее число итераций.

Это я и решил проверить, доработав свою программу.

Уравнение используется одно и тоже.
Уравнение используется одно и тоже.

Так как для уравнения, корни которого надо найти, в обоих методах мы используем одну и ту же функцию

F(z) = z**k -1

мы можем сравнить фракталы для одинаковых областей, количества итераций и требуемой точности.

Я оставил несколько примеров из метода Ньютона также для метода Галлея:

Список примеров для метода Галлея.
Список примеров для метода Галлея.

Как и ожидалось, метод Галлея находит корни намного быстрее - на фракталах фон исчезает быстрее. Например, "Нейроны":

Метод Ньютона
Метод Ньютона
Метод Галлея.
Метод Галлея.

Или "Полёт":

Метод Ньютона.
Метод Ньютона.
Метод Галлея.
Метод Галлея.

А вот и вариант "Чёрного квадрата" Казимира Малевича - только метод Галлея не научился так ровно закрашивать одним цветом :-)

Зелёный квадрат метода Галлея.
Зелёный квадрат метода Галлея.

Кстати, добавил функциональность для управления границами области.

Теперь, наряду с уже существующей возможностью выделения фрагмента и его увеличения, можно двигать область в целом - влево, вправо, вверх, вниз, а также как бы подниматься над областью вверх, тем самым расширя границы области сразу во все четыре стороны.

Кнопки управления областью (точнее, её границами).
Кнопки управления областью (точнее, её границами).

Теперь стало намного удобнее.

Спасибо за внимание.