Легкая задачка для школьника! Пусть а и b - целые положительные числа. Если x является целым числом, то оно обязательно является квадратом! Докажите это ! 🙄🙄🙄🙄🙄🙄🙄
Легкая задачка для школьника! Пусть а и b - целые положительные числа. Если x является целым числом, то оно обязательно является квадратом! Докажите это ! 🙄🙄🙄🙄🙄🙄🙄
...Читать далее
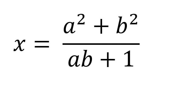
Легкая задачка для школьника!
Пусть а и b - целые положительные числа. Если x является целым числом, то оно обязательно является квадратом!