Добавить в корзину
Позвонить
Найти в Дзене
Войти
Из тени в свет
483 подписчика
Подписаться
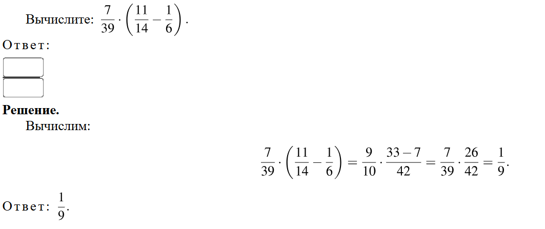
Обыкновенные дроби. 6 класс. Пример. Решение.
22 ноября 2025
22 ноя 2025
25
~1 мин
Такой пример. ВПР. Решение в Видео. Ссылка на видео.
Такой пример. ВПР. Решение в Видео. Ссылка на видео.
...
Читать далее
Такой пример. ВПР.
Решение в Видео.
Ссылка на видео.
rutube.ru
сокращение дробей. 6 класс ВПР
7
1
880469977.795.1779553856316.53882