Добавить в корзинуПозвонить
Найти в Дзене

РАСЧЕТ ПРОТИВОДЫМНОЙ ВЕНТИЛЯЦИИ В ПОМЕЩЕНИЯХ БЕЗ СИСТЕМЫ АВТОМАТИЧЕСКОГО ПОЖАРОТУШЕНИЯ (АУПТ)

На сайте Инженерного Бюро «Одна Атмосфера» (не является рекламой) имеется хорошая статья, посвященная вопросу определения площади пожарной нагрузки F0 в помещениях, не оснащенных системами автоматического пожаротушения (АУПТ): https://www.101325.ru/novosti/opredelenie_plowadi_ochaga_pozhara/ В данной статье представлено следующее письмо от ФГБУ ВНИИПО МЧС России, в котором предлагается оценивать расстояния между единицами пожарной нагрузки R, при которых не происходит распространение пожара между ними: В рамках своей статьи хотел расшифровать формулу с точки зрения физики процесса. Представленная формула взаимной зависимости радиационной составляющей мощности тепловыделения очага пожара Qr(лучистая теплоотдача) и расстояния R между единицами пожарной нагрузки, при котором не происходит распространение пожара, несет в себе следующий физический смысл: где Fсф – площадь поверхности сферы радиусом R; qr – критическая поверхностная плотность теплового потока от точечного источника теп

На сайте Инженерного Бюро «Одна Атмосфера» (не является рекламой) имеется хорошая статья, посвященная вопросу определения площади пожарной нагрузки F0 в помещениях, не оснащенных системами автоматического пожаротушения (АУПТ): https://www.101325.ru/novosti/opredelenie_plowadi_ochaga_pozhara/

В данной статье представлено следующее письмо от ФГБУ ВНИИПО МЧС России, в котором предлагается оценивать расстояния между единицами пожарной нагрузки R, при которых не происходит распространение пожара между ними:

В рамках своей статьи хотел расшифровать формулу с точки зрения физики процесса.

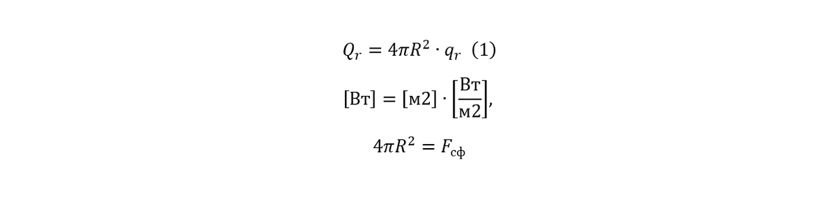
Представленная формула взаимной зависимости радиационной составляющей мощности тепловыделения очага пожара Qr(лучистая теплоотдача) и расстояния R между единицами пожарной нагрузки, при котором не происходит распространение пожара, несет в себе следующий физический смысл:

-2

где Fсф – площадь поверхности сферы радиусом R; qr – критическая поверхностная плотность теплового потока от точечного источника теплового излучения на поверхности данной сферы радиусом R, при которой не происходит возгорание смежной с очагом пожара пожарной нагрузки.

-3

Термин физической величины qr представлен в п.3.6 ГОСТ 30402-96 «Материалы строительные. Метод испытания на воспламеняемость»:

-4

Расстояние R измеряется по нормали от центра горящей пожарной нагрузки (точечный источник теплового излучения) до тепловоспринимающей поверхности смежного набора горючих материалов.

Также данная зависимость в рамках модели точечного источника теплового излучения и подхода, основанного на «наборе горючих материалов» описывается в справочнике-обзоре 2009г ООО «СИТИС» ТР-5044 «Пожарная нагрузка. Обзор зарубежных источников» в разделе «Расчетные пожары. Подход, основанный на наборе горючих материалов» на стр.37.

В формулу из письма от ФГБУ ВНИИПО МЧС России подставим формулу расчета мощности тепловыделения очага пожара (3) из Методических рекомендаций ВНИИПО МД.137-13 «Расчетное определение основных параметров противодымной вентиляции зданий»:

-5

Если площадь очага пожара представить в виде квадрата стороной «a», то, как следствие, получим из формулы (2):

-6

Множитель

-7

из формулы (3) можем представить как некий коэффициент k – безразмерный коэффициент, показывающий соотношение критического расстояния между единицами пожарной нагрузки и ее габаритом:

-8

Я взял данные из таблицы 2 справочника СИТИС-СПН-1 «Пожарная нагрузка. Справочник» и просчитал для всех типов горючих материалов значение данного коэффициента k по формуле (5). Файл с этим расчетом Excel я разместил в своем телеграмм-канале https://t.me/gfr_engineering. Если убрать единичные экстремальные значения, то получилась примерно следующая картина:

При значении qr = 10кВт/м2

-9

Абсолютное большинство значений стремится к усредненному значению kуср = 1.

При значении qr = 20кВт/м2

-10

Абсолютное большинство значений стремится к усредненному значению kуср = 0,7.

Таким образом, с некоторой степенью допущения можно сказать, что:

- при плотности теплового потока qr = 10кВт/м2 (тепловоспринимающая поверхность из тонкослойных материалов – бумага, картон, упаковочная пленка и т.д.)

-11

- при плотности теплового потока qr = 20кВт/м2 (тепловоспринимающая поверхность из других материалов – дерево, фанера, пластик и т.д.)

-12

Данные значения можно применять при первичных предварительных расчетах. Понятно, что для определения расстояния R необходимо уточнять как значение выведенного коэффициента k, так и значения плотности теплового потока qr для конкретного материала. Например, определенные значения qr я нашел в статье «Критическая плотность падающих лучистых потоков» на сайте FireSafetyBlog.ru: http://firesafetyblog.ru/raschet-kategoriy/kriticheskaya-plotnost.html

Значения предельных расстояний при оценке возможности отнесения помещения к категории «В4» представлены также в Таблице Б.2 Приложения Б СП12.13130.2009. А в таблице Б.3 представлены значения критической плотности теплового потока для ряда материалов. При этом, каким образом был выполнен расчет предельных расстояний, к сожалению, для меня остается неизвестным:

-13

Для помещений высотного стеллажного хранения с несколькими ярусами хранимой продукции, следует полагать, что в формуле (4) по аналогии с парковками многоярусного хранения автомобилей (см. раздел 3.1 МД137-13) необходимо учесть увеличение мощности тепловыделения. Таким образом, формула предстанет в виде:

-14

Покажу на примере как можно применять полученные формулы.

Исходные данные:

- склад хранения продукции на паллетах с европоддоном, подпадает под необходимость выполнения системы противодымной вентиляции;

- паллеты хранятся в один ярус и сформированы из картонных коробок и замотаны стретч-пленкой;

- сама продукция имеет критическую плотность qr больше, чем у упаковки;

- у Заказчика нет возможности выполнить систему АУПТ в помещении/здании;

- для проезда погрузчика по технологии между рядами продукции требуется 3,2м.

-15

По формуле (6) мы определим, что максимальные габариты пожарной нагрузки для рассматриваемого случая могут быть:

-16

Данное значения площади очага пожара вполне устраивает для выполнения системы ПДВ.

Ближайшая меньшая по площади – комбинация из 12 паллет (5,3м *2,5м ≈ 13м2):

-17

Как видим, расстояние R2 можем выполнить чуть меньше и подогнать под значение 13м2: 3,6м*3,6м ≈ 13м2.

В качестве обоснования необходимости противопожарных "разрывов" R перед Заказчиком можно привести расчет системы ПДВ на базе площади горения пожарной нагрузки, ограниченной лишь временем прибытия пожарных подразделений:

-18

Подобные расчеты по представленным формулам (8) и (9) уже представлены в моем расчетном файле Excel, который я разместил для бесплатного пользования в своем телеграмм-канале https://t.me/gfr_engineering

Выводы, примечания и следствия:

1. Предельное расстояние R, исключающее распространение пожара от одной единицы пожарной нагрузки к другой, находится в прямой зависимости от площади единицы пожарной нагрузки.

2. В помещениях, требующих выполнения систем противодымной вентиляции, но не требующих выполнения систем автоматического водяного пожаротушения (АУПТ), при ограничении единиц пожарной нагрузки расстоянием R необходимо утвердить фиксацию расположения единиц пожарной нагрузки в плане (например, расположением стеллажей и т.д).

3. При расчете системы вытяжной противодымной вентиляции необходимо сверить расчетную температуру дымового слоя с температурой самовоспламенения материалов пожарной нагрузки, находящихся в дымовом слое при расчетном режиме пожара. Если расчетная температура дымового слоя выше температуры самовоспламенения материала в помещении – то возможно катастрофическое возгорание смежных единиц пожарной нагрузки вне зависимости от соблюдения расстояния R между ними. В данном случае выполнение систем АУПТ неизбежно.

4. Наличие системы АУПТ позволяет владельцу склада:

- оптимизировать капитальные затраты на выполнении систем противодымной вентиляции;

- не терять полезную площадь из-за противопожарных разрывов R;

- застраховать хранимую продукцию в страховой компании по более низким ставкам.

Использованная Литература:

1. Статья «Определение площади очага пожара» на сайте Инженерного Бюро «Одна атмосфера»

https://www.101325.ru/novosti/opredelenie_plowadi_ochaga_pozhara/

2. ТР-5044 «Пожарная нагрузка. Обзор зарубежных источников» ООО «СИТИС», 2009г. (http://www.sitis.ru/).

3. СИТИС-СПН-1 «Пожарная нагрузка. Справочник» ООО «СИТИС, Редакция 2, 2014г.

4. Cтатья «Критическая плотность падающих лучистых потоков» из сайта Firesafetyblog.ru.

5. Методические рекомендации ВНИИПО МД.137-13 «Расчетное определение основных параметров противодымной вентиляции зданий».