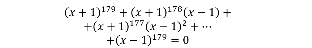
Содержание некоторых задач из вступительных экзаменов по математике в школу №179, на мой взгляд, вполне тянет на отдельный вид искусства. Иногда встречаются настолько любопытные экземпляры, что пройти мимо них невозможно. Сегодня как раз один из таких случаев: школьное уравнение, в котором прекрасно всё. Попробуйте решить самостоятельно. Итак, задание. Решите уравнение: Заметим, что x = 1 не является решением этого уравнения, так как при подстановке этого значения в левую часть все слагаемые, кроме первого, обнуляются, а первое становится неравным нулю. То есть итоговая сумма не равна нулю. Значит, можно поделить обе части на (x-1)^179 и получить следующее уравнение: Так как дробь (x+1)/(x-1) не равна 1 ни при каком x, поскольку её числитель никогда не равен знаменателю, то эту сумму можно рассматривать как сумму геометрический прогрессии с следующими первым членом и знаменателем: Тогда сумма всех 180 членов этой прогрессии равна: Так как знаменатель никогда не обращается в нуль, то н
Уравнение из вступительного в школу 179
21 ноября 202521 ноя 2025
5
1 мин
