Добавить в корзинуПозвонить
Найти в Дзене
Смотровая Военврача

Криспр против холестерина

Криспр против холестерина В интернете только и разговоров что об альтернативах статинам. На что угодно готовы, даже травиться плесенью с красного риса, лишь бы таблетки не пить. Ну ок, на горизонте замаячила ещё одна альтернатива. Правда, боюсь, от неё будут бегать с удвоенной силой, потому что там предлагают изменить ДНК. Не усилием воли, не подключением к космическим каналам, не сообщением своих желаний вселенной и даже не дыханием маткой. Предлагается использовать нобелевскую технологию CRISPR-Cas9 (те самые «генетические ножницы»). В фазе 1 клинического исследования с участием всего 15 человек было показано, что это в целом возможно. Нацелились на ген ангиопоэтин-подобного белка 3 (ANGPTL3), который, среди прочего, участвует в регуляции уровня «плохого холестерина» (ЛПНП) и триглицеридов в плазме крови. Как обычно, КИ проводится не на ровном месте, к этому решению подкрадывались десять лет. Лекарство под кодовым наименованием CTX310 получилось сложносочинённое: необходимые для

Криспр против холестерина

В интернете только и разговоров что об альтернативах статинам. На что угодно готовы, даже травиться плесенью с красного риса, лишь бы таблетки не пить. Ну ок, на горизонте замаячила ещё одна альтернатива. Правда, боюсь, от неё будут бегать с удвоенной силой, потому что там предлагают изменить ДНК.

Не усилием воли, не подключением к космическим каналам, не сообщением своих желаний вселенной и даже не дыханием маткой. Предлагается использовать нобелевскую технологию CRISPR-Cas9 (те самые «генетические ножницы»).

В фазе 1 клинического исследования с участием всего 15 человек было показано, что это в целом возможно. Нацелились на ген ангиопоэтин-подобного белка 3 (ANGPTL3), который, среди прочего, участвует в регуляции уровня «плохого холестерина» (ЛПНП) и триглицеридов в плазме крови.

Как обычно, КИ проводится не на ровном месте, к этому решению подкрадывались десять лет. Лекарство под кодовым наименованием CTX310 получилось сложносочинённое: необходимые для «переписывания» мРНК + эндонуклеаза Cas9 + направляющая РНК, нацеленная на ген ANGPTL3 гепатоцитов (клеток печени). Всё это заключено в липидные наночастицы и вводится внутривенно.

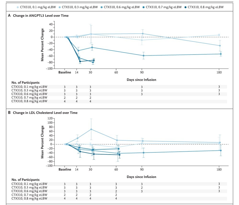
У пациентов была неконтролируемая гиперхолестеринемия, гипертриглицеридемия или смешанная дислипидемия. CTX310 вводили однократно в дозе 0,1, 0,3, 0,6, 0,7 или 0,8 мг/кш массы тела. А вот первичной точкой были НЯ, то есть нежелательные явления, потому что в первой фазе изучают совсем не эффективность препарата, а как раз наоборот, дозоограничивающие токсические эффекты.

Были ли НЯ? Были. У одного пациента возникла межпозвонковая грыжа, второй умер через 179 дней после введения CTX310. Пока что нет ответа - это НЯ или НЛР. Что такое НЛР? Нежелательная лекарственная реакция, когда НЯ причинно-следственно связано с экспериментальным препаратом. Вот грыжа явно мимо, а летальный исход нужно тщательно изучать. У остальных немного подпрыгнули АСТ и АЛТ, но это как раз ожидаемо, причём они как подпрыгнули, так и нормализовались. Сами.

Ясно, что всех интересует главный вопрос - а что там с геном? Получилось? ЛПНП ушёл в подвал и там закрылся?

В целом похоже на то. Снижение уровня ANGPTL3:

💉При дозе 0,6 мг/кг: среднее снижение ~ 32,7% (диапазон от −51,4% до −19,4%).

💉При дозе 0,7 мг/кг: ~ 79,7% снижение (диапазон от −86,8% до −72,5%).

💉При дозе 0,8 мг/кг: ~ 73,2% снижение (диапазон −89,0% до −66,9%).

Таким образом, на самых высоких дозах удалось добиться 70-80-процентного снижения ANGPTL3.

А липиды? При дозе 0,8 мг/кг у четырёх участников через 60 дней наблюдалось снижение ЛПНП на ~48,9%, а триглицеридов на ~55,2%.

Да, первая фаза пока что, да, 15 участников, да, всего 60 дней наблюдений, да, изучали не эффективность, да, большой разброс доз, да, есть неясный летальный исход.

Но и движение в сторону потенциально весьма перспективной технологии тоже да. Продолжаем наблюдения.