Найти в Дзене

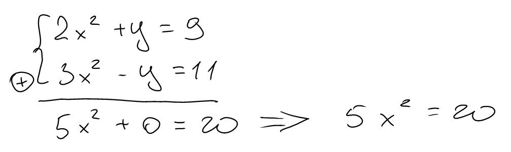
{2x^2+y=9 и 3x^2-y=11

Так как у переменной "у" в первом и втором уравнении противоположные коэффициенты (1 и -1 соответственно), то имеет смысл начать решать эту систему способом сложения: Получается не полное квадратное уравнение, в котором коэффициенты бэ и цэ равны нулю (b=0, c=0), тогда делю право и лево на пять и извлекаю квадратные корни (из тех же права и лева): Теперь нужно узнать чему равен y (ведь это система). Я подставлю значение x в любое из двух исходных уравнений, в то которое мне больше нравится. Больше нравится мне первое, из него я выражу y: Теперь на место x подставлю значения x₁ и x₂. Так я найду y₁ и y₂: Получается два ответа (две группы корней): (2; 1) и (-2; 1). Вообще решить систему из двух уравнений с двумя переменными, значит найти точки пересечений графиков двух функций (если уравнения воспринимать, как функции) Ответ: (2; 1) и (-2; 1)
Оглавление

ОГЭ по математике, задание 20

Решение:

Так как у переменной "у" в первом и втором уравнении противоположные коэффициенты (1 и -1 соответственно), то имеет смысл начать решать эту систему способом сложения:

-2

Получается не полное квадратное уравнение, в котором коэффициенты бэ и цэ равны нулю (b=0, c=0), тогда делю право и лево на пять и извлекаю квадратные корни (из тех же права и лева):

-3

Теперь нужно узнать чему равен y (ведь это система). Я подставлю значение x в любое из двух исходных уравнений, в то которое мне больше нравится. Больше нравится мне первое, из него я выражу y:

-4

Теперь на место x подставлю значения x₁ и x₂. Так я найду y₁ и y₂:

-5

Получается два ответа (две группы корней): (2; 1) и (-2; 1). Вообще решить систему из двух уравнений с двумя переменными, значит найти точки пересечений графиков двух функций (если уравнения воспринимать, как функции)

-6

Ответ:

Ответ: (2; 1) и (-2; 1)