Найти в Дзене
Сайт психологов b17.ru

Транскрибация случая практической консультации с использованием метода «Работа с привязанностями»

Метод «Работа с привязанностями» является одним из современных подходов в психологии, направленным на развитие способности клиентов самостоятельно решать внутренние конфликты и эмоциональные проблемы. Данный метод основывается на концепции саморефлексии и личностного роста. В настоящей статье рассмотрен практический опыт применения указанного метода в рамках консультационной сессии с пожилым человеком, испытывающим чувство тревоги перед предстоящей сменой рабочих условий.

Цель данной публикации - показать возможности метода «Работа с привязанностями» в практике психологической помощи и консультирования, продемонстрировать успешный опыт преодоления состояния тревоги и неопределенности путем осознания собственных чувств и потребностей.

Транскрибация сессии представлена без каких-либо дополнений, пояснений и комментариев. Вся информация публикуется с полного согласия собеседницы.

Клиент. У меня такой запрос: я пенсионерка много лет уже, и ни разу не делала индексацию своей пенсии. И решила в этом году сделать индексацию. Для этого мне надо уволиться с работы на целый месяц, а потом опять поступить. Я уже написала заявление об увольнении, и весь июнь я уволенная. Мне, конечно, все пообещали, что возьмут меня обязательно, и с нетерпением ждут. Но тем не менее, у меня там всё шкребёт и сомнения есть: а вдруг, вдруг найдут молодую, интересную, перспективную. Всё-таки я уже девушка в возрасте. Ну, вот эти сомнения меня и тревожат.

Психолог. Так с чем отношения будем выяснять?

Клиент. Я хочу чувствовать себя спокойно. Как бы ни произошло. Возьмут меня на работу – это классно. Не возьмут меня на работу – это новый этап моей жизни. И я хочу принять и тот, и тот вариант спокойно.

Психолог. Ага! А кто участвует в этих взаимоотношениях? Или, быть может, что? Я услышала, что вы, работа…

Клиент. Работа.

Психолог. Переживания…

Клиент. Да.

Психолог. Спокойствие. Старая работа, новая работа?

Клиент. О новой работе я не думала.

Психолог. Ну, старая работа и новый вид трудовой деятельности…

Клиент. Новое состояние, потому что если меня совсем уволят, то снова идти работать, как я раньше я работала, - я не пойду. В смысле где-то работать на кого-то. Я уже буду работать только на себя.

Психолог. Самозанятость как новая работа. Так?

Клиент. Да. Да. Да.

Психолог. Новая работа не важно какая: самозанятость, или ещё что-то подвернется, или ещё каким-то образом какие-то трудовые отношения.

Клиент. Угу, да!

Психолог. Напишите список

Клиент. (Берет бумагу и ручку). Пишу: я, работа старая, работа новая, тревога… (задумывается)

Психолог. (Подсказываю) Я слышала спокойствие ещё.

Клиент. Да, спокойствие. Если быть спокойной хочу – спокойствие ещё. Ну, достаточно.

Психолог. (Проверяю) Всех упомянули, никого не забыли?

Клиент. Работа старая, работа новая, тревога, спокойствие. Сейчас я подумаю ещё.

Психолог. Пенсию нужно дописывать сюда?

Клиент. Нет. Пенсия останется, она даже повысится. (Протяжно пояснила, и уверенно добавила). Это уже не от меня зависит и об этом я спокойна. Я знаю, что это так будет. Пенсию не буду даже трогать. Наверное, это всё.

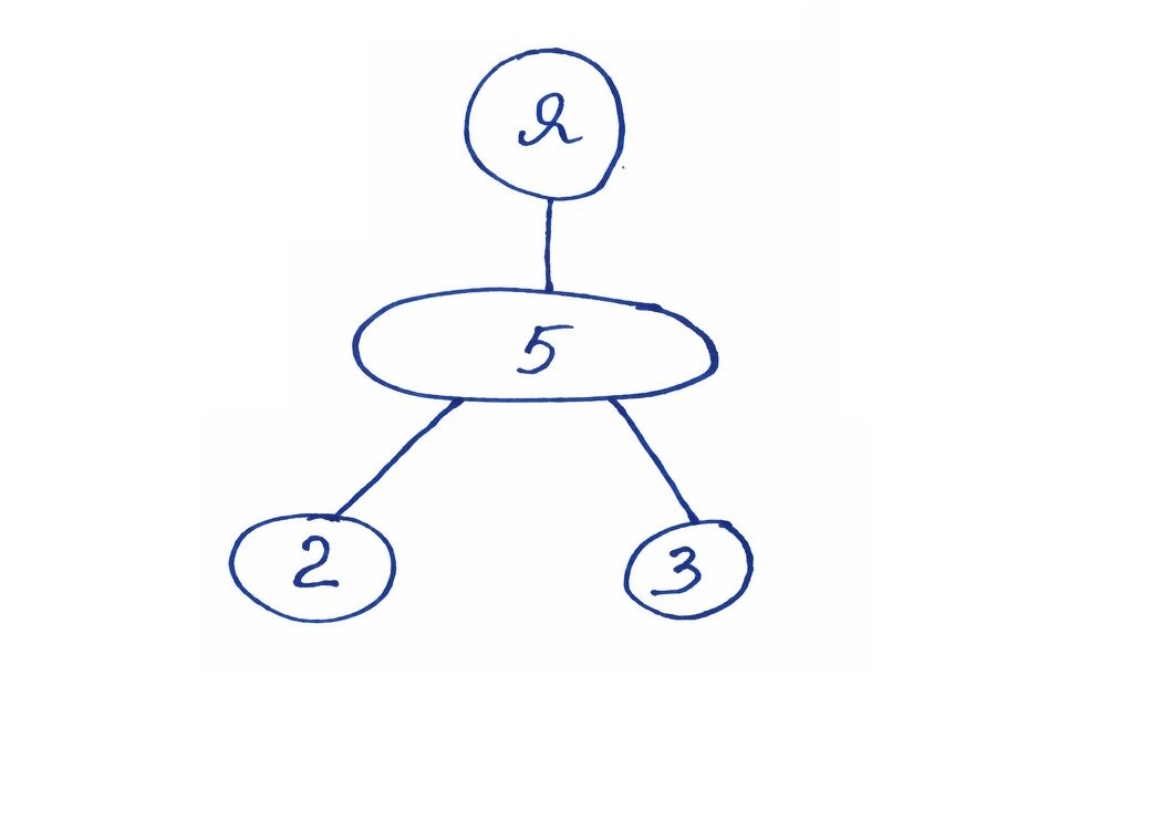
Психолог. Хорошо. Нарисуйте, пожалуйста, как это у вас устроено.

Рисунок 1. Диагностика

Психолог. Очень интересно. Вот что я вижу. Границы старой работы явно порушены: и спокойствием, и вами, и тревогой. А ещё я вижу, что для того, чтобы добраться до спокойствия сейчас, вам нужно дождаться либо новой работы, либо старой работы. Совсем не так, как вы хотите: быть спокойной вне зависимости от результата.

Клиент. Да, получается так.

Психолог. И старая работа границы тревоги тоже рушит. У спокойствия и новой работы тоже границы нарушены… Единственно, с чем у вас качественный и уважительный контакт, так это с тревогой. И вы уважаете тревогу, и тревога уважает вас.

Клиент. Да. (улыбается)

Психолог. А всё остальное так не уважительно как-то…

Клиент. Да.

Психолог. Ну, конечно, тревога же родненькая…

Клиент. Ну, конечно, я ж с ней живу (улыбается ещё шире) И долго (смеется)

Психолог. А что вы хотели бы сделать?

Клиент. Я хочу быть спокойной, как бы не повернулась моя жизнь. Старая работа, новая работа – принять это совершенно осознанно.

Психолог. Правильно ли я понимаю: спокойствие вы хотите сделать той опосредованностью, через которую вы будете принимать жизнь?

Клиент. Да! И тогда новая схема будет.

Психолог. И тогда схема будет выглядеть иначе, конечною

Клиент. Сейчас я нарисую (Рисует) … Ой, нарисовала, а тревогу некуда деть! (смеется)

Психолог. Да ладно! Правда, что ли? (хитро подшучиваю в ответ) Тревога не помещается?

Клиент. Вот, смотрите!

-2

Рисунок 2. После осмысления.

Психолог. Скажите, это то, что вы искали?

Клиент. Да. Да! И тревоги здесь вообще нет.

Психолог. А ей и нет места в этом случае.

Клиент. Да. Спокойствие, старая и новая работа, не важно какая, в любом случае тревоги нет. Всё!

Психолог. Даже если будет две.

Клиент. И та, и другая работа? Да, сейчас же у меня так. Всё спокойно. Ой, замечательно! Спасибо!

Психолог. Подытожьте, пожалуйста результат нашей работы.

Клиент. Я нашла способ расстаться с тревогой. Когда я спокойна, не важно: есть ли одна работа, или другая, или обе, или только пенсия – для тревоги нет места, она сюда не вписывается. Я не хочу даже её сюда вписывать.

Психолог. А что сейчас с вашими чувствами, мыслями…

Клиент. Чувствую облегчение. Чувствую, что я понимаю, что со мной происходит и что может быть: либо так, либо так. И чувствую, что я принимаю и ту, и другую ситуацию. И от моей тревоги ситуация не изменится. Будет либо так, либо так, либо по-другому. И смысл мне тревожиться? Ну нет смысла никакого. Лучше я буду спокойная, и буду ждать как решится весь этот вопрос. И всё. Прямо вот облегчение, будто камень с души упал.

Психолог. Казалось бы: как раньше и сама до этого не додумалась?

Клиент. Думала, думала. Но вот когда в рисунке увидела, и на ваши вопросы ответила, тогда всё прояснилось.

Через некоторое время клиент уехала к внукам на целый месяц. В конце этих каникул ей несколько раз звонили с работы, с вопросом; скоро ли она к ним вернется. Она возобновила контракт и до сих пор там работает.

Результаты

Проведение консультации показало высокую эффективность предложенного метода. Клиент сумел визуализировать собственные переживания, определить связи между ними и разработать стратегию поведения вне зависимости от внешних обстоятельств. Основным результатом стало формирование устойчивого чувства спокойствия и принятие различных возможных сценариев развития ситуации.

Применение метода позволило углубленно исследовать внутренний мир клиента, выявив причины возникновения тревоги и способы её преодоления. Понимание процессов собственного сознания и поведенческих реакций дало возможность значительно снизить уровень беспокойства и сформировать позитивное отношение к происходящим изменениям.

Практическое применение метода «Работа с привязанностями» продемонстрировало свою значимость и полезность в консультативной практике. Использование простых инструментов диагностики и коррекции помогло клиенту обрести уверенность в себе и способность адекватно реагировать на жизненные трудности.

Список литературы

[1] Мазилов, В. А. Методология психологической науки: История и современность / В.А. Мазилов. − Ярославль : РИО ЯГПУ, 2017 − 435 с.

[2] Пономаренко, Е.И. НЕинструкция метода «Работа с привязанностями»: пять шагов к счастливым отношениям / Е.И. Пономаренко. — Москва : Ridero, 2024. — 116 c.

Автор: Пономаренко Елена Ивановна
Психолог, Супервизор, Специалист по взаимоотношениям

Получить консультацию автора на сайте психологов b17.ru