Найти в Дзене
Где мой интеграл?

Решение номера 103 Филиппов

Всем привет! На очереди у нас дифференциальные уравнения. На примере задачи из сборника Филиппова, мы разберем алгоритм решения однородных дифференциальных уравнений. Сначала мы всегда должны определить тип уравнения (однородное, Риккати, в полных дифференциалах и другие). Для определения однородного дифференциального уравнения существует следующий способ: Проще говоря, перед переменными в уравнение мы вставляем скаляр, совершаем с ним необходимые операции (например, возведение в степень, если переменная изначально стоит в какой-то степени) и смотрим на то, как меняется функция. Обратимся теперь к нашей задаче и проверим данным способом однородность уравнения (M=y^2-2xy ; N=x^2). Мы убедились в однородности уравнения. Теперь можем приступить к его решению. Для этого существует типичная замена переменных для однородных дифференциальных уравнений: После замены переменной y главное не забыть заменить дифференциал dy. При подстановке мы получаем дифференциал произведения, который раскрыва

Всем привет! На очереди у нас дифференциальные уравнения. На примере задачи из сборника Филиппова, мы разберем алгоритм решения однородных дифференциальных уравнений.

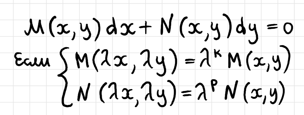
Сначала мы всегда должны определить тип уравнения (однородное, Риккати, в полных дифференциалах и другие). Для определения однородного дифференциального уравнения существует следующий способ:

Способ проверки однородности
Способ проверки однородности

Проще говоря, перед переменными в уравнение мы вставляем скаляр, совершаем с ним необходимые операции (например, возведение в степень, если переменная изначально стоит в какой-то степени) и смотрим на то, как меняется функция. Обратимся теперь к нашей задаче и проверим данным способом однородность уравнения (M=y^2-2xy ; N=x^2).

2 порядок однородности
2 порядок однородности

Тоже 2 порядок однородности
Тоже 2 порядок однородности

Мы убедились в однородности уравнения. Теперь можем приступить к его решению. Для этого существует типичная замена переменных для однородных дифференциальных уравнений:

Замена для решения однородных уравнений
Замена для решения однородных уравнений

После замены переменной y главное не забыть заменить дифференциал dy. При подстановке мы получаем дифференциал произведения, который раскрываем как производную произведения. Далее мы подставляем все данные с учетом замены в начальное уравнение

Преобразуем уравнение после замены переменных
Преобразуем уравнение после замены переменных

Суть подобной замены переменных в том, что получить уравнение с разделяющимися переменными, которые изучаются в первую очередь при изучении дифференциальных уравнений. Для этого приводим подобные слагаемые и разделяем переменные x и t по разные стороны равенства.

Решаем дифференциальное уравнение с разделяющимися переменными
Решаем дифференциальное уравнение с разделяющимися переменными

Очень важно не забыть проверить частный случай при делении всего уравнения на t^2-t. Для этого рассматриваем случай t^2-t=0 и делаем обратную замену. В конце решения мы впишем получившиеся корни в ответ.

Проверка частного случая
Проверка частного случая

При решении интегралов важно помнить табличные значения и тот факт, что дробь из правого интеграла разбивается на сумму двух дробей. Затем считаются интегралы от каждой дроби в отдельности:

Разложение интеграла на разность двух табличных интегралов
Разложение интеграла на разность двух табличных интегралов

Далее мы считаем интегралы и не забываем о том, что под знаком дифференциала можно прибавлять и вычитать любые константы и при этом значение интеграла не будет меняться. Затем мы пользуемся свойствами логарифмов о сумме и разности, чтобы в итоге получить один логарифм слева и один справа.

-10

Остается избавиться от знака логарифма в обеих частях равенства и вернуться к начальным переменным x и y (сделать обратную замену).

Получаем общее решение дифференциального уравнения
Получаем общее решение дифференциального уравнения

Все! Теперь нам остается записать ответ, не забыв при этом два частных решения, полученные выше. Если присмотреться, то можно заметить, что корень y=x входит в семейство решений Cy=x(y-x), то есть его можно не выписывать в ответ.

Ответ к задаче
Ответ к задаче