Найти в Дзене
Ринат Сулейманов

Цукерберг облажался, а ИИ уже увольняет рекрутеров

В ИИ снова жара. Пока Цукерберг чинит последствия провала Lama 4, искусственный интеллект уже подбирает людей на работу лучше, чем живые рекрутеры. 67 000 собеседований на Филиппинах:
– предложение о работе +12%
– удержание сотрудников +17%
– 70% кандидатов довольны ботами, а с людьми — только 50% ИИ не устает, не забывает вопросы, слушает больше, чем говорит. Но есть минус: 5% людей просто бросили разговор, 7% словили баги. И да, пока это работает в основном для позиций начального уровня. Вывод: автоматизация найма — уже реальность. Но живой HR нужен для верхнего эшелона. Tencent выкатили Hyuan MT — первую открытую ансамблевую модель для перевода (33 языка). 7B параметров, работает на обычной видеокарте. Любой стартап теперь может запустить свой Google Translate. На олимпиаде WMT’25 — первое место в 30 из 31 категорий. Вывод: переводческий бизнес трясёт. Входной порог в нишу падает. Lama 4 вышла в апреле. На тестах всё ок, но у пользователей — фиаско.
Теперь Meta (МЕА) тихо испо
Оглавление

В ИИ снова жара. Пока Цукерберг чинит последствия провала Lama 4, искусственный интеллект уже подбирает людей на работу лучше, чем живые рекрутеры.

1. Чат-боты против HR — счёт 1:0

67 000 собеседований на Филиппинах:
– предложение о работе +12%
– удержание сотрудников +17%
– 70% кандидатов довольны ботами, а с людьми — только 50%

ИИ не устает, не забывает вопросы, слушает больше, чем говорит. Но есть минус: 5% людей просто бросили разговор, 7% словили баги. И да, пока это работает в основном для позиций начального уровня.

Вывод: автоматизация найма — уже реальность. Но живой HR нужен для верхнего эшелона.

2. Китай взорвал рынок переводов

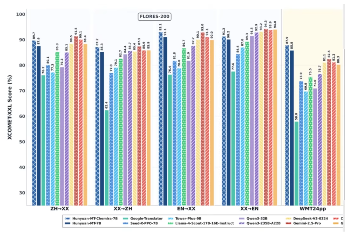
Tencent выкатили Hyuan MT — первую открытую ансамблевую модель для перевода (33 языка).

7B параметров, работает на обычной видеокарте. Любой стартап теперь может запустить свой Google Translate.

На олимпиаде WMT’25 — первое место в 30 из 31 категорий.

-2

Вывод: переводческий бизнес трясёт. Входной порог в нишу падает.

3. Цукерберг на костылях конкурентов

Lama 4 вышла в апреле. На тестах всё ок, но у пользователей — фиаско.
Теперь Meta (МЕА) тихо использует OpenAI и Google, чтобы хоть как-то вытянуть свою ИИ-платформу.

-3

Вывод: даже гиганты сливаются, если рынок требует скорость, а не обещания.

4. Новый вектор от Карпатого

Андрей Карпаты (экс-OpenAI, Tesla) назвал Reinforcement Learning тупиком.
Предлагает System Prompt Learning — обучение не через «кнут и пряник», а через глубокое понимание контекстов.

Если это выстрелит — логика ИИ станет похожа на человеческое мышление.

5. ИИ лезет на кухню

MIT сделали Kitchen Cosmo:
– сканирует продукты
– генерирует рецепт через GPT-4o
– печатает на бумаге
– крутилки, никакого экрана

-4

Вывод: ИИ становится частью быта. Это не будущее — это уже на столе.

Что дальше?

Если всё, что ты сейчас прочитал, зацепило - тебе важно идти дальше

Тебя ждет бесплатынй закрытый урок с полной схемой, как выйти на стабильные 200 000 ₽+ через AI-ботов -> https://clck.ru/3PAEgz

Это не «волшебная кнопка», но если сделаешь, как показано - первые результаты могут прийти уже через пару недель. Но урок в открытом доступе не останется - потом просто не будет шанса зайти с таким разбором.

Подробнее про рынок нейросетей рассказываю на своем YouTube канале 👇 https://www.youtube.com/@RinatSuleyman