Добавить в корзинуПозвонить
Найти в Дзене

Коррекция Бэгли: точность измерений в капиллярной реометрии

Коррекция Бэгли: точность измерений в капиллярной реометрии! 📊 При измерении вязкости полимера в капиллярном реометре важно учитывать эффекты входа и выхода капилляра. 🚫 💡Для этого используют поправку Бэгли. Суть в чем? Объемный расход (Q) рассчитывается по скорости плунжера. Но для точного расчета вязкости необходимо учесть концевые эффекты. Для этого проводят серию экспериментов с капиллярами разной длины (L) и постоянного диаметра (R) при разных скоростях сдвига. Измеряют изменение давления (ΔP) и строят график зависимости ΔP от L/R (рис. 3.17). Экстраполяция к L/R = 0 дает поправку Бэгли. Кажущаяся скорость сдвига на стенке капилляра (γ_каж) рассчитывается по формуле: ✔️(Формула 1) Важно! Скорость сдвига нужно скорректировать с учетом псевдопластичности полимера. По мере увеличения скорости сдвига, поправка Бэгли увеличивается. Обычно, для капилляров с L/D > 50 концевыми эффектами можно пренебречь. Измеренное давление корректируется путем вычитания ΔP0 (отсекаемый отрезо

Коррекция Бэгли: точность измерений в капиллярной реометрии! 📊

При измерении вязкости полимера в капиллярном реометре важно учитывать эффекты входа и выхода капилляра. 🚫

💡Для этого используют поправку Бэгли. Суть в чем? Объемный расход (Q) рассчитывается по скорости плунжера. Но для точного расчета вязкости необходимо учесть концевые эффекты.

Для этого проводят серию экспериментов с капиллярами разной длины (L) и постоянного диаметра (R) при разных скоростях сдвига. Измеряют изменение давления (ΔP) и строят график зависимости ΔP от L/R (рис. 3.17). Экстраполяция к L/R = 0 дает поправку Бэгли.

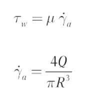
Кажущаяся скорость сдвига на стенке капилляра (γ_каж) рассчитывается по формуле:

✔️(Формула 1)

Важно! Скорость сдвига нужно скорректировать с учетом псевдопластичности полимера.

По мере увеличения скорости сдвига, поправка Бэгли увеличивается. Обычно, для капилляров с L/D > 50 концевыми эффектами можно пренебречь.

Измеренное давление корректируется путем вычитания ΔP0 (отсекаемый отрезок на графике Бэгли). Наклон регрессионной прямой позволяет рассчитать напряжение на стенке капилляра (τw):

✔️(Формула 2)

Затем, необходимо скорректировать кажущуюся скорость сдвига, учитывая псевдопластичные свойства полимера. Для этого выбирают модель, связывающую напряжение сдвига и скорость сдвига. Выбор модели – дело вкуса реолога. 🤓

#полимеры #реология #капиллярныйреометр #вязкость #коррекцияБэгли #материаловедение #наука #измерения #точность

-2