Добавить в корзинуПозвонить
Найти в Дзене
Машинное обучение

⚡️ Tencent дропнули Hunyuan-MT — мощные open-source модели для перевода

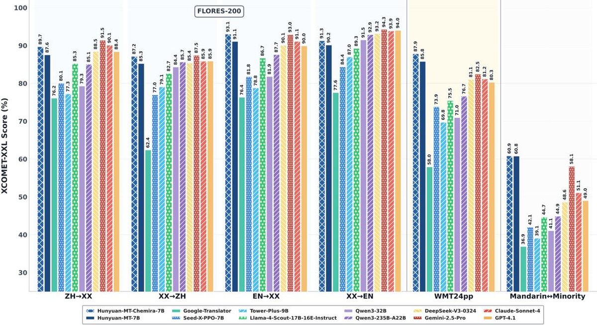
⚡️ Tencent дропнули Hunyuan-MT — мощные open-source модели для перевода Что внутри: - Доступны модели Hunyuan-MT-7B и Hunyuan-MT-Chimera-7B - Поддержка 33 языков - Chimera-7B — это первая d индустрии откртытая ансамблевая модель 🏆 Результаты: - 1-е место в 30 из 31 категорий на международном конкурсе WMT25 (Workshop on Machine Translation 2025, крупнейшая в мире конференция-соревнование по машинному переводу) - Hunyuan-MT-7B лидирует среди моделей своего размера 🟠Модели: https://huggingface.co/collections/tencent/hunyuan-mt-68b42f76d473f82798882597 🟠 Репозиторий: https://github.com/Tencent-Hunyuan/Hunyuan-MT Demo: https://hunyuan.tencent.com/modelSquare/home/list @ai_machinelearning_big_data #AI #NLP #Translation #Tencent

⚡️ Tencent дропнули Hunyuan-MT — мощные open-source модели для перевода

Что внутри:

- Доступны модели Hunyuan-MT-7B и Hunyuan-MT-Chimera-7B

- Поддержка 33 языков

- Chimera-7B — это первая d индустрии откртытая ансамблевая модель

🏆 Результаты:

- 1-е место в 30 из 31 категорий на международном конкурсе WMT25 (Workshop on Machine Translation 2025, крупнейшая в мире конференция-соревнование по машинному переводу)

- Hunyuan-MT-7B лидирует среди моделей своего размера

🟠Модели: https://huggingface.co/collections/tencent/hunyuan-mt-68b42f76d473f82798882597

🟠 Репозиторий: https://github.com/Tencent-Hunyuan/Hunyuan-MT

Demo: https://hunyuan.tencent.com/modelSquare/home/list

@ai_machinelearning_big_data

#AI #NLP #Translation #Tencent

Open Source
12 тыс интересуются