Добавить в корзинуПозвонить
Найти в Дзене
Будни репетитора

Разложение любого многочлена на множители

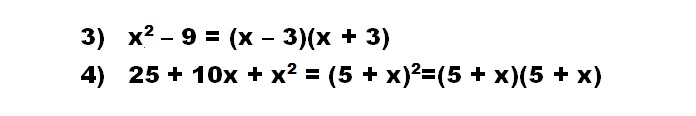
Вспомнили и разобрали с вами разные способы разложения на множители: Вынесение общего множителя за скобки Формулы, обратные формулам сокращённого умножения Формула разложения квадратного трёхчлена на множители Способ группировки На последнем примере рассмотрим обратное действие, то есть мы можем разделить исходный многочлен на, например, первый множитель, тогда получим второй! Да - да, многочлены тоже можно делить "уголком" как обычные числа Как это сделать: Выполним деление следующих многочленов Для того, чтобы разделить многочлен на другой многочлен, нужно его последовательно умножать на какой-нибудь одночлен до получения старшего члена делимого многочлена Как узнать этот одночлен? Просто разделим первое слагаемое (первый одночлен делимого) на первое слагаемое в делителе Затем умножаем найденный одночлен на делитель Находим следующий одночлен и продолжаем тот же алгоритм Получили 0, а это значит, что деление многочленов закончено, то есть можно записать равенство А это не что иное,
Вспомнили и разобрали с вами разные способы разложения на множители:

Вынесение общего множителя за скобки

Формулы, обратные формулам сокращённого умножения

-2

Формула разложения квадратного трёхчлена на множители

-3

Способ группировки

-4

На последнем примере рассмотрим обратное действие, то есть мы можем разделить исходный многочлен на, например, первый множитель, тогда получим второй!

-5
Да - да, многочлены тоже можно делить "уголком" как обычные числа

Как это сделать:

Выполним деление следующих многочленов

-6
Для того, чтобы разделить многочлен на другой многочлен, нужно его последовательно умножать на какой-нибудь одночлен до получения старшего члена делимого многочлена

Как узнать этот одночлен? Просто разделим первое слагаемое (первый одночлен делимого) на первое слагаемое в делителе

-7

Затем умножаем найденный одночлен на делитель

-8

Находим следующий одночлен и продолжаем тот же алгоритм

-9
-10
-11
-12
-13
-14

Получили 0, а это значит, что деление многочленов закончено, то есть можно записать равенство

-15

А это не что иное, как разложение на множители! Вопрос: как догадаться "на какой многочлен нужно выполнять деление изначально"? На это вопрос ответим в другой публикации, а пока попробуйте самостоятельно выполнить деление

-16

До встречи!