Найти в Дзене
Войти
In ФИЗМАТ
10,8 тыс подписчиков
Подписаться
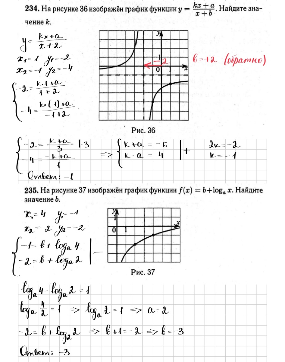
Графики функций для ЕГЭ по математике, профильный уровень. Сборник Лысенко, №№ 232-239
26 августа
26 авг
8
Скачать ПДФ:
Скачать ПДФ:
...
Читать далее
Скачать ПДФ:
disk.yandex.ru
Сборник №№232-239.pdf — Яндекс Диск
Подготовка к ЕГЭ
128,7 тыс интересуются
Следить за темой
1
2429680946.1914.1766794207871.64849