Добавить в корзинуПозвонить
Найти в Дзене
Машинное обучение

🧮 GPT-5 Pro выходит на новый уровень

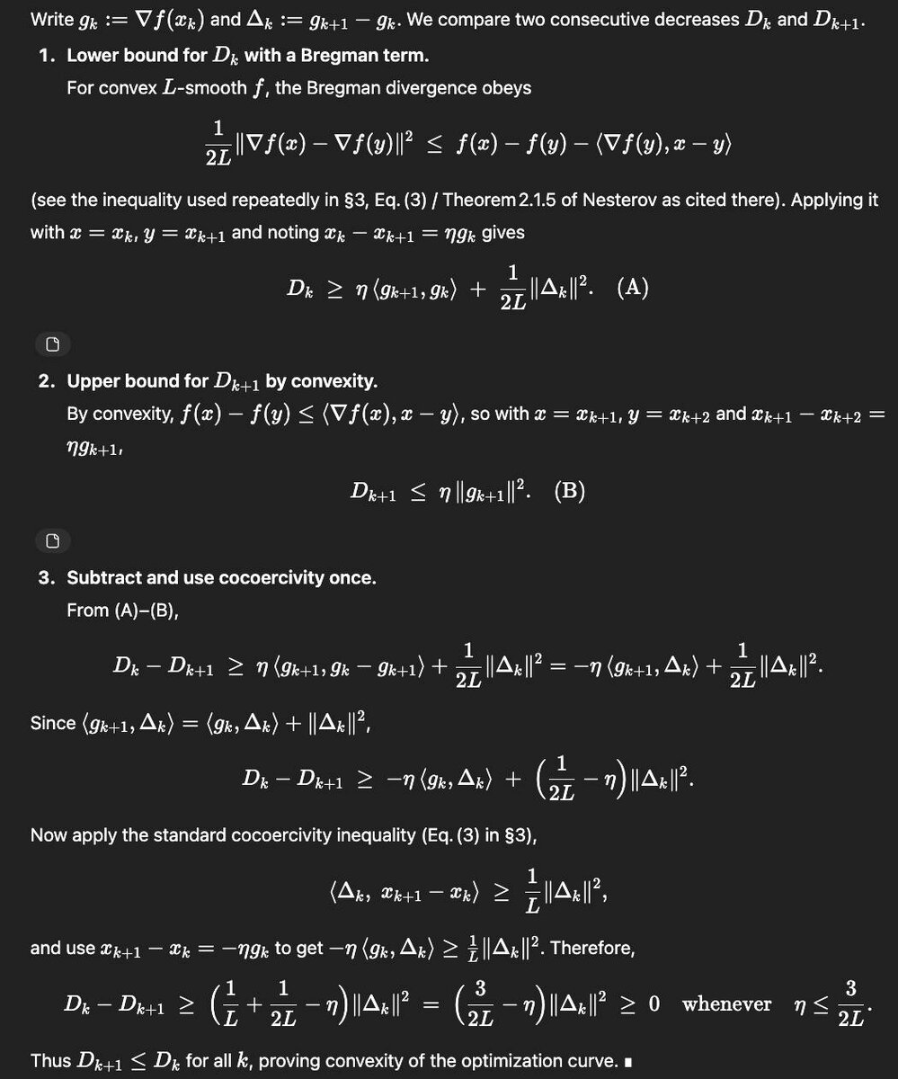
🧮 GPT-5 Pro выходит на новый уровень. Теперь модель способна выводить корректные математические доказательства прямо из научных статей. 📌 Недавний пример: GPT-5 Pro построила проверенное доказательство из работы по выпуклой оптимизации, расширив «безопасное окно шага» на 50%. 🧮 Эксперимент выглядел так: он взял статью по выпуклой оптимизации, где оставался открытым вопрос о шагах градиентного спуска. GPT-5 Pro предложил доказательство, которое улучшило границу из оригинальной работы, и Бюбек лично проверил его корректность. 📄 В первой версии статьи было установлено: 🟢если η < 1/L (L — параметр гладкости), кривая значений функции выпуклая; 🟢если η > 1.75/L, существует контрпример. Неясным оставался диапазон [1/L, 1.75/L]. 💡 GPT-5 Pro сумел продвинуться и показал, что условие выпуклости сохраняется вплоть до η = 1.5/L. Это не окончательное решение, но значимый шаг вперёд — фактически новый научный результат, который мог бы быть опубликован на arXiv. 👀 Однако в обновлённой

🧮 GPT-5 Pro выходит на новый уровень.

Теперь модель способна выводить корректные математические доказательства прямо из научных статей.

📌 Недавний пример: GPT-5 Pro построила проверенное доказательство из работы по выпуклой оптимизации, расширив «безопасное окно шага» на 50%.

🧮 Эксперимент выглядел так: он взял статью по выпуклой оптимизации, где оставался открытым вопрос о шагах градиентного спуска. GPT-5 Pro предложил доказательство, которое улучшило границу из оригинальной работы, и Бюбек лично проверил его корректность.

📄 В первой версии статьи было установлено:

🟢если η < 1/L (L — параметр гладкости), кривая значений функции выпуклая;

🟢если η > 1.75/L, существует контрпример.

Неясным оставался диапазон [1/L, 1.75/L].

💡 GPT-5 Pro сумел продвинуться и показал, что условие выпуклости сохраняется вплоть до η = 1.5/L. Это не окончательное решение, но значимый шаг вперёд — фактически новый научный результат, который мог бы быть опубликован на arXiv.

👀 Однако в обновлённой версии статьи , где появился дополнительный соавтор, люди закрыли задачу полностью, доказав точность границы 1.75/L.

Примечательно, что доказательство GPT-5 Pro оказалось независимым: оно не совпадает с версией v2 и выглядит как естественное развитие идей из v1. Это показывает, что модель действительно смогла предложить свой собственный путь к решению открытой математической проблемы.

Главное не только в результате, но и в контроле: на второй попытке, при заданных ограничениях, модель сместила константу дальше — сохранив все правила.

Можно представить так: GPT-5 крутит очень чувствительную ручку, но не ломает механизм — а параллельно пишет чистое и проверяемое объяснение, которое может разобрать эксперт.

Это шаг к тому, чтобы ИИ стал ежедневным соавтором на самых острых технических границах — где модели быстро «поджимают» константы, а люди доводят их до предела.

Эра, когда большая часть математических открытий будет рождаться вместе с ИИ, только начинается. 🚀

-2