Добавить в корзинуПозвонить
Найти в Дзене

Онтологический аргумент: от Ансельма Кентерберийского до доказательства Курта Гёделя

Что, если существование Бога можно доказать не с помощью священных текстов или наблюдений за звёздным небом, а исключительно силой чистого разума, исходя из самого понятия о Боге? Эта дерзкая идея, впервые сформулированная почти тысячу лет назад, породила один из самых элегантных, спорных и живучих аргументов в истории человеческой мысли — онтологическое доказательство. Его путешествие от кельи средневекового монаха до суперкомпьютеров XXI века — это настоящая интеллектуальная одиссея, в которой отразились величайшие споры о границах логики, реальности и веры. В XI веке монах и философ Ансельм Кентерберийский в своём трактате «Прослогион» предложил рассуждение поразительной простоты и глубины. Он начал с определения Бога как «того, больше чего нельзя ничего помыслить». Даже атеист, утверждал Ансельм, понимает это определение, а значит, это понятие существует как минимум в его уме. Но что совершеннее: существовать только в уме или существовать и в уме, и в реальности? Очевидно, второе.
Оглавление

Что, если существование Бога можно доказать не с помощью священных текстов или наблюдений за звёздным небом, а исключительно силой чистого разума, исходя из самого понятия о Боге? Эта дерзкая идея, впервые сформулированная почти тысячу лет назад, породила один из самых элегантных, спорных и живучих аргументов в истории человеческой мысли — онтологическое доказательство. Его путешествие от кельи средневекового монаха до суперкомпьютеров XXI века — это настоящая интеллектуальная одиссея, в которой отразились величайшие споры о границах логики, реальности и веры.

Прозрение Ансельма: Мысль, которая порождает реальность

В XI веке монах и философ Ансельм Кентерберийский в своём трактате «Прослогион» предложил рассуждение поразительной простоты и глубины. Он начал с определения Бога как «того, больше чего нельзя ничего помыслить». Даже атеист, утверждал Ансельм, понимает это определение, а значит, это понятие существует как минимум в его уме. Но что совершеннее: существовать только в уме или существовать и в уме, и в реальности? Очевидно, второе. Следовательно, если «то, больше чего нельзя помыслить» существует лишь в мыслях, то можно помыслить нечто большее — то, что существует и в реальности. Это создаёт логическое противоречие. Чтобы его избежать, нужно признать: то, больше чего нельзя помыслить, должно существовать не только в уме. Следовательно, Бог существует.

Аргумент Ансельма был не миссионерским инструментом, а плодом его принципа «верую, чтобы понимать» — попыткой рационально осмыслить то, что уже было предметом его веры.

Спор титанов: Опыт против умозрения

Несмотря на свою изящность, аргумент тут же вызвал критику. Парадоксально, но одним из главных его противников стал другой великий теолог — Фома Аквинский. Он не сомневался в существовании Бога, но категорически отвергал метод Ансельма. Для Фомы, чья философия была основана на опыте, человеческий разум слишком ограничен, чтобы постичь божественную сущность и выводить из неё существование. Познание, по его мнению, должно идти от следствий (сотворённого мира) к причине (Творцу), а не наоборот.

Этот спор задал тон на столетия вперёд. Философы разделились. Рене Декарт и Готфрид Лейбниц поддержали и усовершенствовали аргумент. Лейбниц, например, указал на недостающее звено: прежде чем говорить о существовании всесовершенного существа, нужно доказать, что само это понятие логически возможно и не содержит противоречий.

Но самый сокрушительный удар нанёс Иммануил Кант. В «Критике чистого разума» он заявил, что бытие — это не свойство (не предикат). Своим знаменитым примером со ста талерами он показал, что сто реальных талеров в кармане ничем по своему понятию не отличаются от ста талеров в воображении. «Существование» не добавляет к понятию вещи нового качества, а лишь констатирует её наличие в мире. Вывести его из чистого определения невозможно.

Моральный поворот Канта и его уязвимость

Разрушив теоретические доказательства, Кант, однако, не отказался от идеи Бога. Он предложил свой, нравственный аргумент. Суть его в том, что внутри каждого из нас есть моральный закон (категорический императив), который требует стремиться к «высшему благу» — состоянию, где добродетель вознаграждается счастьем. Поскольку в реальном мире это недостижимо, должен существовать всемогущий гарант, который обеспечит эту справедливость. Этот гарант и есть Бог.

Но и здесь современная мысль нашла слабое место. Что, если наш альтруизм и чувство долга — не голос трансцендентного закона, а всего лишь врождённая эволюционная стратегия, которая помогла нашему виду выжить? Наше поведение может быть продиктовано бессознательными биологическими механизмами, а сознание лишь постфактум придумывает для них красивые объяснения в виде «моральных принципов». Как выразился психолог Джонатан Хайдт, наш разум — это всадник на слоне: он думает, что управляет, но на самом деле лишь оправдывает путь, который выбрал могучий слон наших интуитивных порывов.

Возрождение в XX веке: Бог как теорема

Казалось, после Канта онтологический аргумент остался лишь музейным экспонатом. Но в XX веке он обрёл вторую жизнь в работах величайшего логика со времён Аристотеля — Курта Гёделя. Используя всю мощь современной модальной логики (оперирующей понятиями «возможности» и «необходимости»), Гёдель перевёл интуицию Ансельма на строгий язык математических аксиом. Его доказательство, настолько сложное, что было полностью проверено лишь с помощью компьютеров, обходит критику Канта. Оно доказывает не просто «существование», а «необходимое существование», переходя от посылки о логической возможности богоподобного существа к выводу о его необходимом бытии во всех возможных мирах, включая наш.

Ключевая идея современных онтологических аргументов выглядит так:

Если существование максимально совершенного существа является хотя бы логически возможным, то оно должно существовать с необходимостью.

Этот переход от возможности к необходимости — сердце современного подхода.

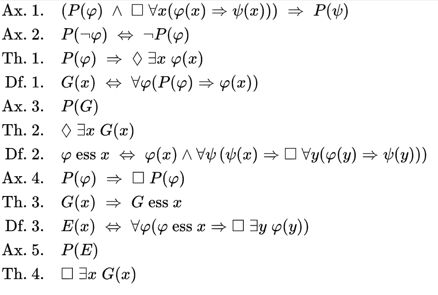
Доказательство Курта Гёделя

Как мы уже обсуждали, Гёдель не просто скопировал Ансельма, а построил его аргумент заново на фундаменте модальной логики второго порядка. Он создал строгую формальную систему из аксиом и определений, чтобы доказать, что:

  1. Понятие существа, обладающего всеми «положительными свойствами», логически непротиворечиво.
  2. Следовательно, такое существо возможно (существует хотя бы в одном возможном мире).
  3. Поскольку «необходимое существование» само является положительным свойством, это существо должно им обладать.
  4. Если существо обладает необходимым существованием, оно существует во всех возможных мирах, включая наш.

Это было в первую очередь логическое упражнение, демонстрация мощи формальных систем.

Доказательство Геделя записанное на языке формальной математической логики
Доказательство Геделя записанное на языке формальной математической логики

Модальный аргумент Алвина Плантинги

Позже философ Алвин Плантинга предложил более доступную версию, которая стала центральной в современных дебатах. Сегодня споры ведутся уже не о том, является ли бытие свойством, а о том, можем ли мы вообще принять исходную посылку о «возможности» существования максимально великого существа. Логику Плантинги можно изложить следующим образом:

  1. Определение: Существует понятие «максимально великого существа». Такое существо должно обладать максимальным совершенством (всемогуществом, всезнанием, всеблагостью) в каждом возможном мире.
  2. Ключевая посылка: Существование такого максимально великого существа является, по крайней мере, логически возможным.
  3. Логический вывод: Если его существование возможно, значит, существует хотя бы один возможный мир, в котором оно есть.
  4. Заключение: Но если оно существует в одном мире, то по своему определению (как максимально великое) оно должно существовать во всех возможных мирах. А раз так, оно существует и в нашем реальном мире.

Современные дебаты: о чём спорят сегодня?

Сегодняшние споры ведутся не о том, является ли бытие свойством. Дискуссия сместилась на другие, более тонкие вопросы:

  • Обоснованность главной посылки: Является ли посылка о возможности существования максимально великого существа истинной? Критики утверждают, что у нас нет никаких оснований принимать эту посылку. Для атеиста понятие «максимально великого существа» может быть такой же логической фикцией, как «круглый квадрат». Сторонники же аргумента отвечают, что для его опровержения нужно доказать, что такое существо невозможно.
  • Выбор логической системы: Аргументы Гёделя и Плантинги работают в определённой системе модальной логики, которая содержит специфические аксиомы о связи между возможными мирами. Изменение этих аксиом может сделать доказательство недействительным.
  • Множественность аргументов: Современные философы, такие как Грэм Оппи, классифицируют десятки разновидностей онтологического аргумента: дефинициальные, концептуальные, модальные и другие. Это показывает, что речь идёт не об одном доказательстве, а о целом семействе аргументов.

Таким образом, современная логика не столько «доказала» существование Бога, сколько вдохнула новую жизнь в старый философский спор. Она превратила его из метафизической загадки в строгое и элегантное упражнение для разума

Заключение: вечный вопрос

Путешествие онтологического аргумента показывает, что это не просто логическая головоломка. Это зеркало, в котором отражается эволюция человеческого разума. Ни одна из его версий не стала общепринятым доказательством, способным заставить атеиста поверить. Но его непреходящая ценность в другом: он заставляет нас задавать предельные вопросы. Что такое реальность? Какова связь между мыслью и бытием? Каковы границы и возможности нашей логики?

И пока разум стремится познать свои пределы, тысячелетняя одиссея онтологического аргумента будет продолжаться.