Найти в Дзене
In ФИЗМАТ

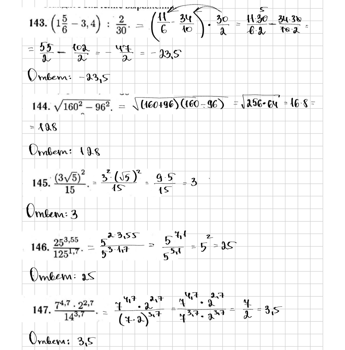
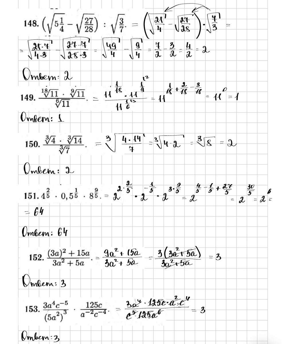
Преобразование выражений для ЕГЭ по математике, профильный уровень. Сборник Лысенко, №№143-188

Преобразование выражений для ЕГЭ по математике, профильный уровень. Сборник Лысенко, №№143-188 Преобразование выражений для ЕГЭ по математике, профильный уровень. Сборник Лысенко, №№143-188 Преобразование выражений для ЕГЭ по математике, профильный уровень. Сборник Лысенко, №№143-188 Скачать ПДФ по ссылке ниже: https://disk.yandex.ru/i/RTf4JTQELaLSwg

Преобразование выражений для ЕГЭ по математике, профильный уровень. Сборник Лысенко, №№143-188

Преобразование выражений для ЕГЭ по математике, профильный уровень. Сборник Лысенко, №№143-188

Преобразование выражений для ЕГЭ по математике, профильный уровень. Сборник Лысенко, №№143-188

Скачать ПДФ по ссылке ниже:

https://disk.yandex.ru/i/RTf4JTQELaLSwg

-2
-3
-4
-5
-6
-7
-8
-9
-10
-11