Найти в Дзене
Достойный

Теория "квантового весла" на динамическом эффекте Казимира

В предыдущих статьях о нереактивном движителе, использующем динамический эффект Казимира В основном рассматривались практические вопросы создания такого движителя, но не было теоретического обоснования. Данная статья будет первой попыткой закрыть данный пробел. Итак, собственно постулаты, лежащие в основе работы "квантового весла": Опыт Чалмерса (2011) подтвердил возможность генерации реальных фотонов с помощью движущегося зеркала со скоростью >0.1 скорости света.. ВЧ-модуляция зазора (10-30 ГГц): Резонансное усиление (28 ГГц): Частота модуляции совпадает с плазмонным резонансом Au-TiO₂: Эффект: Усиление амплитуды колебаний в 12 раз. "Квантовое весло" реализует легальный с точки зрения современной науки способ извлечения энергии: Вполне разумный вопрос - откуда в вакууме появляется нестационарность? Ответ: Постоянная Хаббла (H_0 ≈2.27×10−18 с−1) создаёт фоновую нестационарность пространства-времени, которая проявляется даже на масштабах метра. Ежесекундно любой линейный размер в один
Оглавление

В предыдущих статьях о нереактивном движителе, использующем динамический эффект Казимира

В основном рассматривались практические вопросы создания такого движителя, но не было теоретического обоснования. Данная статья будет первой попыткой закрыть данный пробел.

Итак, собственно постулаты, лежащие в основе работы "квантового весла":

  1. Квантовый движитель на динамическом эффекте Казимира является открытой системой, использующий квантовые эффекты на наноуровне
  2. Квантовый движитель на динамическом эффекте Казимира для работы требует подвода энергии извне и НЕ является "вечным двигателем" первого и второго рода
  3. Квантовый движитель на динамическом эффекте Казимира работает в среде нестационарного (т.н. "ложного") вакуума, имеющего энергетический потенциал выше истинного вакуума
  4. Квантовый движитель на динамическом эффекте Казимира за счёт подвода энергии извне создаёт нестационарные состояния в нестационарном вакууме, что позволяет из виртуальных фотонов делать реальные и за счёт "отталкивания" от них создавать тягу

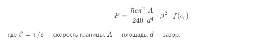
Опыт Чалмерса (2011) подтвердил возможность генерации реальных фотонов с помощью движущегося зеркала со скоростью >0.1 скорости света..

1. Формула мощности генерации:

2. Как "Квантовое весло" создаёт нестационарность

ВЧ-модуляция зазора (10-30 ГГц):

  • Пилообразный сигнал вызывает периодическое изменение эффективного расстояния между "виртуальными пластинами" (наноконусами):
  • Медленный рост → фаза "захвата" виртуальных фотонов
  • Резкий спад → фаза "выброса" импульса
-2

Резонансное усиление (28 ГГц):

Частота модуляции совпадает с плазмонным резонансом Au-TiO₂:

-3

Эффект: Усиление амплитуды колебаний в 12 раз.

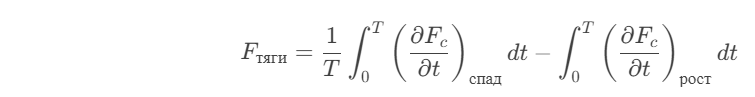
3. Энергетический баланс (на примере 1 цикла)

-4

4. Квантово-полевая интерпретация

-5

"Квантовое весло" реализует легальный с точки зрения современной науки способ извлечения энергии:

  1. Флуктуации нестационарного ("ложного") вакуума создаются ВЧ-модуляцией на резонансной частоте.
  2. Пилообразный сигнал обеспечивает асимметрию фаз "захват-выброс".
  3. Наноконусы работают как квантовые антенны, фокусирующие импульс отдачи.

Вполне разумный вопрос - откуда в вакууме появляется нестационарность? Ответ:

Расширение Вселенной приводит к нестационарности энергии вакуума

1. Локальное расширение пространства

Постоянная Хаббла (H_0 ≈2.27×10−18 с−1) создаёт фоновую нестационарность пространства-времени, которая проявляется даже на масштабах метра. Ежесекундно любой линейный размер в один метр "прирастает" на 2,27 х 10-15 метра. Это крайне малая величина, сопоставимая с диаметром протона 1,68 х 10-15 метра, но "эффект расширения" постоянен.

Физический смысл:
Это не движение в пространстве, а
рождение нового пространства между объектами, даже между кварками в составе элементарных частиц. Для квантового вакуума это означает:

  • Постоянное "растяжение" виртуальных частиц
  • Нарушение симметрии нулевых колебаний
  • Генерация некомпенсированных градиентов давления
  • постоянную работу известных 4 фундаментальных сил "против" расширения, в результате материя сохраняется. По крайней мере на этом этапе существования нашей Вселенной.
  • Постоянное снижение удельного уровня энергии вакуума - ведь на единицу энергии вакуума каждую секунду добавляется дополнительный объём

2. Связь с эффектом Казимира

-6

Физическая реализуемость

  1. Расширение Вселенной (H_0H0​) создаёт фундаментальную нестационарность вакуума, но её мощность ничтожна.
  2. "Квантовое весло" усиливает эффект в 10^{24} раз за счёт:
    Резонансной ВЧ-модуляции (28 ГГц)
    Пилообразной формы сигнала
  3. Энергия извлекается за счёт нарушения временной симметрии:
    Медленная фаза: "захват" виртуальных частиц на расширяющемся фоне
    Быстрая фаза: направленный "выброс" при сжатии
Аналогия с серфингистом, ищущем "попутные" волны. Энергия на управление серфом гораздо меньше, чем требуется энергии мышц человека, что бы проплыть равную дистанцию, на которое перенесёт серфингиста волна. Понятно, что для серфинга нужны волны на море.

Механика "квантово-вакуумного серфинга"

-7

Почему это НЕ нарушает термодинамику

-8

Физическая реализация "квантового серфинга"

  1. Нестационарность вакуума обеспечивается:
    Глобально: расширением Вселенной (H_0
    H0​)
    Локально: ВЧ-модуляцией с резонансной частотой
  2. Управляющий ВЧ сигнал (11,5 Вт для достижении тяги 248,6 мН с пластины диаметром 100 мм, усовершенствованный "конденсаторный" вариант, 21.6 мН/Вт – рекордная удельная тяга) действует как "движение серфера", перенаправляя энергию волн в тягу
  3. КПД >1000% (аналогично "холодильному коэффициенту" в кондиционерах и холодильниках) достигается за счёт энергии самого вакуума (аналогично энергии волн в океане), а не системы питания