Найти в Дзене
In ФИЗМАТ

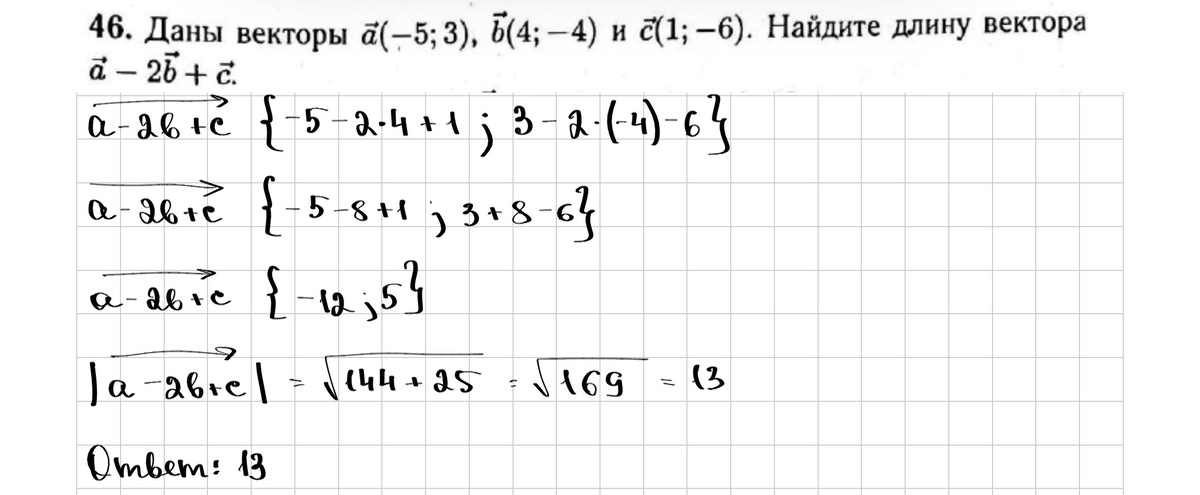
Задачи на векторы для ЕГЭ по математике, профильный уровень. Сборник Лысенко, №№ 45-51

Задачи на векторы для ЕГЭ по математике, профильный уровень. Сборник Лысенко, №№ 45-51 Задачи на векторы для ЕГЭ по математике, профильный уровень. Сборник Лысенко, №№ 45-51 Задачи на векторы для ЕГЭ по математике, профильный уровень. Сборник Лысенко, №№ 45-51 Скачать ПДФ: https://disk.yandex.ru/i/U8fctfpFkw3Xxw

Задачи на векторы для ЕГЭ по математике, профильный уровень. Сборник Лысенко, №№ 45-51

Задачи на векторы для ЕГЭ по математике, профильный уровень. Сборник Лысенко, №№ 45-51

Задачи на векторы для ЕГЭ по математике, профильный уровень. Сборник Лысенко, №№ 45-51

Скачать ПДФ: https://disk.yandex.ru/i/U8fctfpFkw3Xxw

-2
-3
-4
-5
-6
-7
-8