Найти в Дзене
Вадим Варламов

Загадочная формула д-ра Койде

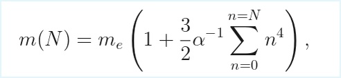
В продолжение темы спектра масс элементарных частиц (см. предыдущую статью https://dzen.ru/a/aJgXCcXC62vUVw6c) рассмотрим массовые формулы, связывающие лептоны трех поколений (ароматов). В 1979 году Азим Орхан Барут [1] предложил массовую формулу
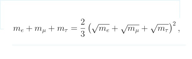
для лептонов: где 𝛼 – постоянная тонкой структуры. Согласно формуле Барута массы электрона, мюона и 𝜏-лептона определяются при 𝑁= 0, 1 и 2 соответственно. Далее в 1983 году Койде [2] предложил следующую формулу: связывающую массы заряженных лептонов. Интересно отметить, что предсказанное Койде (на основании этой формулы) значение массы тау-лептона
(1777 MeV) практически идеально совпадает с современным экспериментальным значением массы этой частицы, в то время как на момент 1983 года это значение равнялось 1784 MeV. О формуле Койде, её интерпретациях и приложениях см. [3–5]. ЛИТЕРАТУРА 1. Barut A.O. Lepton mass formula // Phys. Rev. Lett. 1979. Vol. 42. P. 1251.
2. Koide Y. New view of quark and lepton mass hierarchy // Phys. Rev. D. 198

В продолжение темы спектра масс элементарных частиц (см. предыдущую статью https://dzen.ru/a/aJgXCcXC62vUVw6c) рассмотрим массовые формулы, связывающие лептоны трех поколений (ароматов).

В 1979 году Азим Орхан Барут [1] предложил массовую формулу
для лептонов:

где 𝛼 – постоянная тонкой структуры. Согласно формуле Барута массы электрона, мюона и 𝜏-лептона определяются при 𝑁= 0, 1 и 2 соответственно.

Далее в 1983 году Койде [2] предложил следующую формулу:

-2

связывающую массы заряженных лептонов. Интересно отметить, что предсказанное Койде (на основании этой формулы) значение массы тау-лептона
(1777 MeV) практически идеально совпадает с современным экспериментальным значением массы этой частицы, в то время как на момент 1983 года это значение равнялось 1784 MeV. О
формуле Койде, её интерпретациях и приложениях см. [3–5].

ЛИТЕРАТУРА

1. Barut A.O. Lepton mass formula // Phys. Rev. Lett. 1979. Vol. 42. P. 1251.
2. Koide Y. New view of quark and lepton mass hierarchy // Phys. Rev. D. 1983. Vol. 28. P. 252

3. Rivero A., Gsponer A. The strange formula of Dr. Koide. 2005. URL: arXiv:hep-ph/0505220
4. Foot R. A note on Koide’s lepton mass relation. 1994. URL: arXiv:hep-ph/9402242
5. Esposito S., Santorelli P. A Geometric Picture for Fermion Masses. 1996. URL: arXiv:hepph/9603369

PS, 18.08.2025 На днях Анна Сидорова сообщила мне, что если в формуле Койде положить

-3

то после раскрытия квадрата в правой части и приведения подобных формула примет вид

-4

WolfphramAlpha строит следующую поверхность для этого уравнения:

-5

Может быть, кто-нибудь, глядя на этот конус, вдруг поймет в чем заключается загадка этой формулы.