Добавить в корзинуПозвонить
Найти в Дзене
Широков Александр

Школьные задачи / Алгебра / А-83

Построить на координатной плоскости график уравнения (a > 0, a ≠ 1): logₐy= logₐx Функция логарифма определена для положительного аргумента, что накладывает ограничения на возможные значения y и x, с учётом которых можно число a возвести в степень логарифма и воспользоваться основным логарифмическим тождеством, проделав следующие равносильные преобразования: Полученная система означает, что графиком уравнения является часть графика линейной функции y = x, расположенная в первом квадранте (точка (0; 0) «выколота»). Другие задания, имеющиеся на канале, можно найти здесь: Сведения о новых статьях блога выкладываются в Telegram: Shuric_Himik
Оглавление

Задание

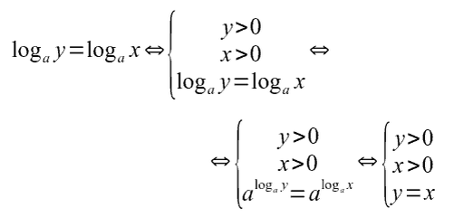
Построить на координатной плоскости график уравнения (a > 0, a ≠ 1):

logₐy= logₐx

Решение

Функция логарифма определена для положительного аргумента, что накладывает ограничения на возможные значения y и x, с учётом которых можно число a возвести в степень логарифма и воспользоваться основным логарифмическим тождеством, проделав следующие равносильные преобразования:

Полученная система означает, что графиком уравнения является часть графика линейной функции y = x, расположенная в первом квадранте (точка (0; 0) «выколота»).

Ответ

-2

Другие задания, имеющиеся на канале, можно найти здесь:

Школьные задачи | Широков Александр | Дзен

-3

Перечень публикаций на канале
Широков Александр2 декабря 2020

Сведения о новых статьях блога выкладываются в Telegram: Shuric_Himik