Добавить в корзинуПозвонить
Найти в Дзене

🧠 Квадратные уравнения и дискриминант: простым языком

Квадратные уравнения — это одна из самых важных тем в школьной программе 📘. Они появляются в 8 классе, но сопровождают учеников и в 9, и в 11, особенно на ОГЭ и ЕГЭ 📝. А ещё они встречаются в физике, геометрии и даже в экономике 💡. Это уравнение вида:
ax² + bx + c = 0,
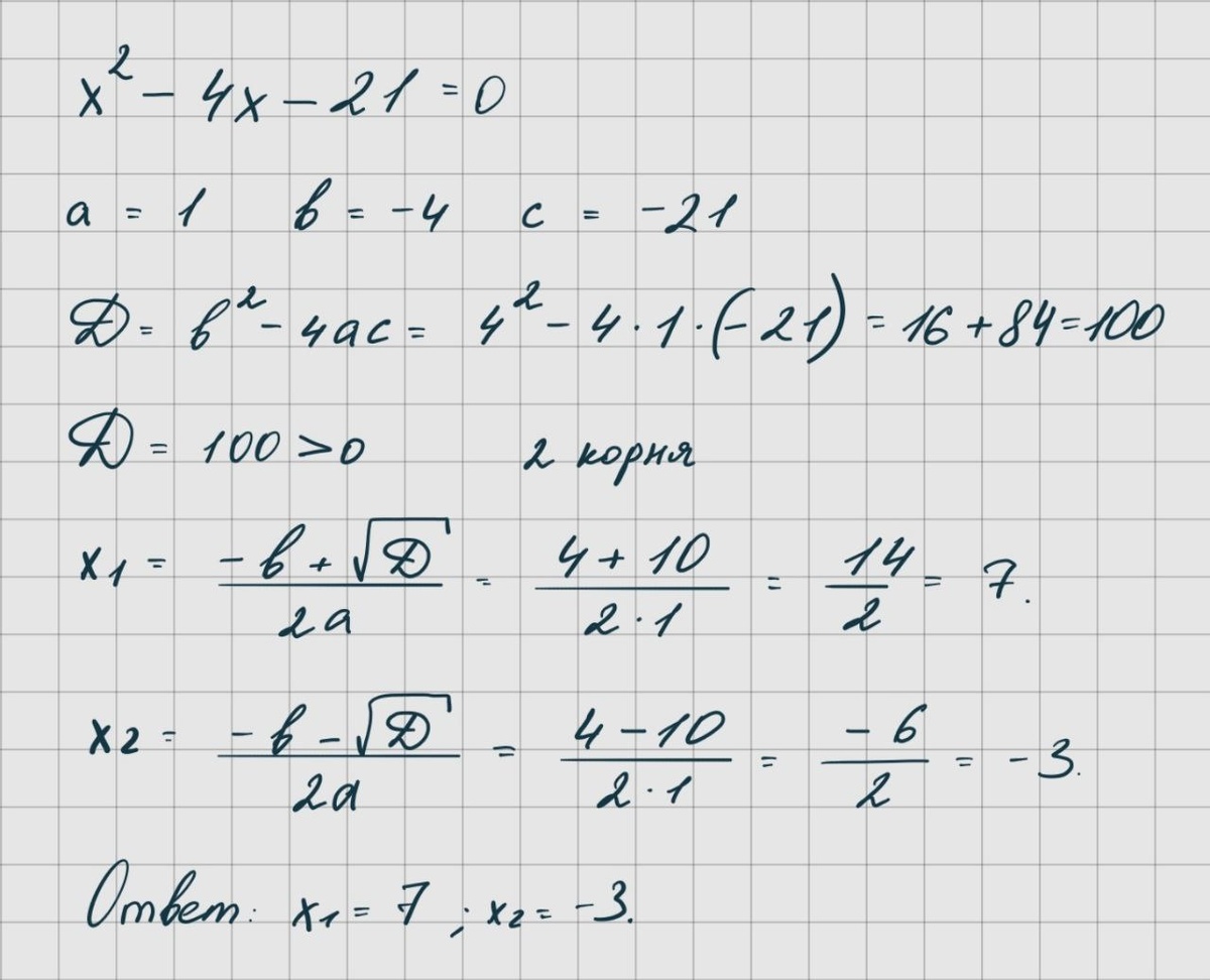
где: Главное: a ≠ 0, иначе это будет обычное линейное уравнение ➕. Самый популярный и понятный способ — через дискриминант. Он помогает понять, сколько решений у уравнения и какие они. D = b² - 4ac Дальше смотрим на значение D: 🔹 D > 0 — два разных корня ✅
🔹 D = 0 — один корень (он же двойной) ➖
🔹 D < 0 — нет действительных корней ❌ После того как вы нашли дискриминант, используйте формулу:
x₁,₂ = (-b ± √D) / 2a 💡 Главное — не бояться! Это просто набор шагов, которые легко запомнить, если потренироваться. Многие ученики пытаются просто выучить формулу — и потом путаются. А если понять, как она работает, и отработать на примерах, то всё встаёт на свои места 🧩. На контрольной или экзамене вы не будете тратить
Оглавление

Квадратные уравнения — это одна из самых важных тем в школьной программе 📘. Они появляются в 8 классе, но сопровождают учеников и в 9, и в 11, особенно на ОГЭ и ЕГЭ 📝. А ещё они встречаются в физике, геометрии и даже в экономике 💡.

❓ Что такое квадратное уравнение?

Это уравнение вида:

ax² + bx + c = 0,

где:

  • a, b, c — коэффициенты (числа),
  • x — переменная.

Главное: a ≠ 0, иначе это будет обычное линейное уравнение ➕.

✍️ Как решить квадратное уравнение?

Самый популярный и понятный способ — через дискриминант. Он помогает понять, сколько решений у уравнения и какие они.

🔎 Формула дискриминанта:

D = b² - 4ac

Дальше смотрим на значение D:

🔹 D > 0 — два разных корня ✅

🔹
D = 0один корень (он же двойной) ➖

🔹
D < 0нет действительных корней

📐 Как найти корни?

После того как вы нашли дискриминант, используйте формулу:

x₁,₂ = (-b ± √D) / 2a

💡 Главное — не бояться! Это просто набор шагов, которые легко запомнить, если потренироваться.

🧩 Почему важно понимать, а не заучивать?

Многие ученики пытаются просто выучить формулу — и потом путаются. А если понять, как она работает, и отработать на примерах, то всё встаёт на свои места 🧩. На контрольной или экзамене вы не будете тратить время на вспоминание, потому что алгоритм уже в голове.

🔄 А есть другие способы?

Да, можно решать квадратные уравнения через:

  • 🧮 выделение полного квадрата,
  • 📊 теорему Виета.

Но дискриминант — самый универсальный, простой и рабочий способ 💯.

-2
-3
-4

🎯 Хотите натренировать навык?

Если вам или вашему ребёнку трудно даются квадратные уравнения — не беда! Я помогу объяснить «по-человечески», без заумных слов. Вместе разберёмся и натренируем 💪

Математика — это не страшно. Особенно когда рядом кто-то, кто умеет объяснять ❤️