Найти в Дзене
Дмитрий Компанец

Задачи на экзамене которые реально взорвут вам мозг. Попробуйте найти ошибку и весь мир вас будет уважать!

Привет мой самый любопытный и разумный Друг!
Сегодня я наглядно покажу решения экзаменационных задачек по математике и физике которые тебя удивят и даже немножечко расстроят. И каждый (почти) из нас уверен в том что формулы школьных учебников по Математике и Физике врать не станут. Это вам не история с географией!
И обладая небольшим набором знаний, вы легко справитесь с задачками школьных экзаменов и вступительных тестов в университеты и институты. Что может быть проще чем формула равноускоренного движения тела под действием сил гравитации? Да практически ничего, и решение подобных заданий, обычно, не вызывает никаких сомнений. Лично я думаю, что любой из вас с ходу решит подобную задачку даже не заглядывая в телефон и поисковую строку с Искусственным Интеллектом Однажды высоко высоко в горах ... про птичку я рассказывать не стану ... один мудрый чабан задал своему ученику простой вопрос из школьного учебника Ученик пастуха, обладая прекрасной памятью и эрудицией китайского смартфона
Оглавление
Странные решения экзаменационных задачек по физике и математике
Странные решения экзаменационных задачек по физике и математике

Привет мой самый любопытный и разумный Друг!
Сегодня я наглядно покажу решения экзаменационных задачек по математике и физике которые тебя удивят и даже немножечко расстроят.

"Мы все учились понемногу чему нибудь и как нибудь"

И каждый (почти) из нас уверен в том что формулы школьных учебников по Математике и Физике врать не станут. Это вам не история с географией!
И обладая небольшим набором знаний, вы легко справитесь с задачками школьных экзаменов и вступительных тестов в университеты и институты.

Рекомендую читать и смотреть до конца - вы будете немножечко шокированы.

Что может быть проще чем формула равноускоренного движения тела под действием сил гравитации? Да практически ничего, и решение подобных заданий, обычно, не вызывает никаких сомнений.

Лично я думаю, что любой из вас с ходу решит подобную задачку даже не заглядывая в телефон и поисковую строку с Искусственным Интеллектом

любой из вас с ходу решит подобную задачку
любой из вас с ходу решит подобную задачку

Однажды высоко высоко в горах ... про птичку я рассказывать не стану ... один мудрый чабан задал своему ученику простой вопрос из школьного учебника

простой вопрос из школьного учебника
простой вопрос из школьного учебника

Ученик пастуха, обладая прекрасной памятью и эрудицией китайского смартфона, мгновенно решил задачу и дал ответ такой как рекомендуется в учебниках Физики и Математики средней школы.

ответ такой как рекомендуется в учебниках Физики и Математики средней школы
ответ такой как рекомендуется в учебниках Физики и Математики средней школы

И умный подаван был совершенно прав - Именно так рекомендуется решать все подобные задания по Физике и математике. Есть формула - готово решение!

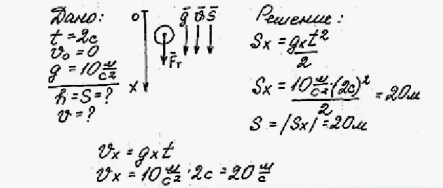
Пять секунд, без начальной скорости и с ускорением школьного учебника равным 10 мет./сек.в.кв. это (пять складываем , восемь в уме, червонец в кармане) получается 5*5*10/2 = 125 метров.

Формула пути при равноускоренном движении
Формула пути при равноускоренном движении

Но тут произошло нечто!

Упавший со скалы и пролетевший пять секунд баран поднялся, подошел к пастуху и его подпаску и совершенно ясным англо-французским языком (не знаю почему) сказал: "Вы оба не правы! И за такой ответ на ОГЭ вы получите неуд!"

Баран умнейшее животное - жует траву и никого не трогает
Баран умнейшее животное - жует траву и никого не трогает

А теперь я вам за барана отвечу!

По вашим понятиям , законам, правилам и формулам выходит так, что:
Если я прыгаю со скалы и
лечу одну секунду с ускорением 10 м/с², то пролечу *10 метров?
Проверим по формуле: S=10*1*1/2 один в квадрате это 1, а деление на 2 приводит к результату *
5 метров свободного полета!!!
При этом в конце пути (первой секунды) скорость полета составит 10 м/с.

Летим дальше но уже с начальной скоростью

10 м/с=Vo еще одну секунду.
Теперь расстояние полета составит (за вторую секунду) S=Vo*1+10*1*1/2
=10+5=15 метров. С учетом того, что до этого мы пролетели 5 метров в сумме получится 20 метров, как и было написано в учебнике.
Каждая секунда добавляет к скорости и к расстоянию по 10 метров.
Задача просто описывается так: За первую секунду пролет составил 5 метров, а за каждую последующую на 10 метров больше чем за предыдущую.

Из условия задачи следует, что расстояние, которое камень пролетает за каждую секунду, увеличивается на 10 метров по сравнению с предыдущей секундой. Это означает, что разница в расстоянии между последовательными секундами постоянна и равна 10 метрам.

Такое равномерное увеличение расстояния свидетельствует о постоянном ускорении. В данном случае ускорение можно определить как величину, на которую увеличивается расстояние, пройденное за секунду, и оно равно 10 метрам в секунду за секунду (м/с²).

А ТЕПЕРЬ ЗАДАНИЕ ИЗ ОГЭ ПО МАТЕМАТИКЕ

ЗАДАНИЕ ИЗ ОГЭ ПО МАТЕМАТИКЕ
ЗАДАНИЕ ИЗ ОГЭ ПО МАТЕМАТИКЕ
В пропасть бросили камень и за первую секунду он пролетел 8 метров, а за каждую последующую на 10 метров больше чем за предыдущую. Какое расстояние пролетит камень за шесть секунд падения?

Это реальный вариант задачи ОГЭ по математике и вы сами можете найти к ней решение и подробное условие.

Решение: Если каждую секунду расстояние увеличивается одинаково - движение можно считать равноускоренным с ускорением 10 м/с². Начальная скорость за первую секунду равна 8 м/с и сохраняется всё время полета.
Значит
просто берем формулу пути и подставляем значения !?

-8

Vo = 8, а=10, t=6 S = 8*6 + 10*6*6/2 = 48 + 180 = 228 метров.
ЭТО НЕПРАВИЛЬНЫЙ ОТВЕТ !

ТЕПЕРЬ БУДЬ ОЧЕНЬ ВНИМАТЕЛЕН - РЕШЕНИЕ

распишем полет по секундам

1) пролетели 8 метров
2) пролетели 8 +10 метров
3) пролетели 8 +10 +10 метров
4) пролетели 8 +10 +10 +10 метров
5) пролетели 8 +10 +10 +10 +10 метров
6) пролетели 8 +10 +10 +10 +10 +10 метров

Попробуйте сложить все эти метры. Первое это шесть по восемь 6*8=48. Тут всё как в формуле из учебника.
А теперь сложим все десятки - пять рядов с нарастанием.
50 + 40 + 30 + 20 + 10 = 150
Осталось сложить 150 и 48 и получить
ПРАВИЛЬНЫЙ ОТВЕТ 198 метров.

Можете пересчитать десятки, восьмерки, секунды; перечитать условия задачи, но результат одобренный приемной комиссией никак не противоречит логике данных размышлений.

НО КАК БЫТЬ С ПАРАДОКСОМ ФОРМУЛЫ ГРАВИТАЦИИ !?

Vo = 8, а=10, t=6     S = 8*6 + 10*6*6/2 = 48 + 180 = 228 метров.
Vo = 8, а=10, t=6 S = 8*6 + 10*6*6/2 = 48 + 180 = 228 метров.

Vo = 8, а=10, t=6 S = 8*6 + 10*6*6/2 = 48 + 180 = 228 метров.
Тут вы в праве попытаться применить "метод научного тыка" и попробовать урезание секунд и усекновение расстояний.
*
*пример рассуждений** Кабы скорость не увеличивалась на 10 каждую последующую секунду, то пролет составил-бы 6 * 8 = 48 метров. Первую секунду скорость и расстояние не увеличивались от исходного, значит в формулу надо подставлять не 6 секунд, а пять !!!

Пробуем: S = 8*6 + 5*5*10/2 = 48 + 125 = 173 метра - НЕ ПОДХОДИТ
Пробуем: S = 8*5 + 6*6*10/2 = 40 + 180 = 220 метров - НЕ ПОДХОДИТ

НУ ЧТО ? КИПИТ ВАШ РАЗУМ ВОЗМУЩЕННЫЙ !

Попробуем его охладить и успокоить ... знаете сколько стоит слегка покушать в аэропорту ? (это не шутки я вылез из маршрутки)

 сколько стоит слегка покушать в аэропорту ?
сколько стоит слегка покушать в аэропорту ?

Голодный мозг сильнее соображает, а значит мы упростим для вас задачу.

Пусть все будет по 10 (десять). И свободный пролет за первую секунду и увеличение расстояния каждую последующую. А секунд будет пять (5).

распишем полет по секундам

1) пролетели 10 метров
2) пролетели 10 +10 метров
3) пролетели 10 +10 +10 метров
4) пролетели 10 +10 +10 +10 метров
5) пролетели 10 +10 +10 +10 +10 метров
равноускоренное движение формулы
равноускоренное движение формулы
-12

Дельта Скорости V равна 10 м/с , дельта Времени t равна 1 секунде. Ускорение а равно отношению приращения скорости ко времени = 10 м/с².

-13

А я предупреждал: "В этой жизни не всё так просто!". И уверяю вас, что старые учебники правы и задачи надо решать с умом, а не с искусственным интеллектом, как это сегодня принято.

Развлечения ради я дал ОГЭ задачку на решение "ИИ" и вот что мне выдал умнейший:

За первую секунду камень пролетел 8 метров.
За вторую секунду он пролетел 8 + 10 = 18 метров.
За третью секунду он пролетел 18 + 10 = 28 метров.
За четвёртую секунду он пролетел 28 + 10 = 38 метров.
За пятую секунду он пролетел 38 + 10 = 48 метров.
За шестую секунду он пролетел 48 + 10 = 58 метров.
Теперь суммируем все расстояния: 8 + 18 + 28 + 38 + 48 + 58 = 190 метров.
Ответ: 190 метров.

Неее! Меее! я всё понимаю, но так косячить !?! как так можно ?
Дал ему ИИ пересчитать сумму чисел - он справился и выдал
8 + 18 + 28 + 38 + 48 + 58 = 198$ . а в долларах получается длиннее :)

Из условий задачи следует, что расстояние, пройденное камнем за каждую секунду, линейно возрастает на 10 метров по сравнению с предыдущим интервалом времени. Это означает, что разность расстояний между последовательными секундами является постоянной величиной, равной 10 метрам.

Такое равномерное увеличение пройденного расстояния указывает на наличие постоянного ускорения. В данном контексте ускорение определяется как величина, на которую увеличивается расстояние, пройденное телом за одну секунду, и составляет 10 метров в секунду за секунду (м/с²).

Таким образом, ускорение камня составляет 10 м/с², а движение является случаем равномерного равноускоренного движения описываемого формулой

-14

Но, подставив в эту формулу все значения, мы не получим верного результата

S = 10*5 + 10*5*5/2 = 50 + 125 = 175 это не равно 150 !
S = 10 + 10*4*4/2 = 10 + 80 = 90 это не равно 150 !
S = 10*5*5/2 = 125 это не равно 150 !

Так в чем заключается загвоздка и парадокс самой простой формулы гравитации в которой невозможно ошибиться, но расчет по ней приводит к неверному результату?

Есть ускорение которое известно и оно постоянно, есть время и расстояния. Остается одно правильно рассчитать путь, но формула из школьного учебника не дает верного результата... .

Что думаешь мой дорогой Читатель?

В этой статье есть решения всех заданных задачек и ответы на все вопросы, но понять как? что и зачем следует - это дело тонкое (как талия у осы).

А быть может вам калькулятор поможет :)

быть может вам калькулятор поможет
быть может вам калькулятор поможет

Следующий раз я расскажу вам про то как решать более сложные задачи по физике, а пока ПОДПИШИТЕСЬ, УЛЫБНИТЕСЬ, ЛАЙК ПОСТАВЬТЕ - НЕ ЛЕНИТЕСЬ!