Добавить в корзинуПозвонить
Найти в Дзене

Как поёт струна? Математическая история колебаний.

Представьте: вы дёрнули струну на гитаре. Она изогнулась и тут же начала вибрировать, создавая звук. А теперь задумайтесь — можно ли заранее узнать, как именно она будет колебаться? Да! Для этого существует волновое уравнение — математический модель, по которой можно предсказать движение струны в любой момент времени. Когда вы оттягиваете струну, она деформируется. Если её отпустить, она начинает колебаться — туда-сюда, быстро, с определённой частотой. Эти колебания передаются воздуху — и вы слышите звук. Но для математиков и физиков интереснее другое: можно ли точно описать, как струна будет двигаться? Ответ: Можно! И это делается с помощью уравнения, которое связывает форму струны, её ускорение. Вот как выглядит уравнение, которое описывает движение струны: Пугаться не стоит. Вот расшифровка: Смысл прост: ускорение струны в точке зависит от того, насколько она изогнута в этой точке. Уравнение колебания струны - гиперболическое уравнение на отрезке. Где u(t,x) - смещение струны в точк
Оглавление

Представьте: вы дёрнули струну на гитаре. Она изогнулась и тут же начала вибрировать, создавая звук. А теперь задумайтесь — можно ли заранее узнать, как именно она будет колебаться?

Да! Для этого существует волновое уравнение — математический модель, по которой можно предсказать движение струны в любой момент времени.

Что вообще происходит со струной?

Когда вы оттягиваете струну, она деформируется. Если её отпустить, она начинает колебаться — туда-сюда, быстро, с определённой частотой. Эти колебания передаются воздуху — и вы слышите звук.

Но для математиков и физиков интереснее другое: можно ли точно описать, как струна будет двигаться?

Ответ: Можно! И это делается с помощью уравнения, которое связывает форму струны, её ускорение.

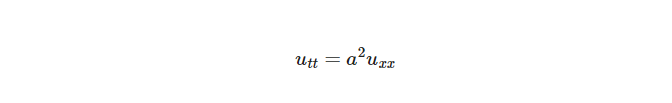
Вот как выглядит уравнение, которое описывает движение струны:

-2

Пугаться не стоит. Вот расшифровка:

-3

Смысл прост: ускорение струны в точке зависит от того, насколько она изогнута в этой точке.

Наш эксперимент: отпущенная параболическая струна.

-4

Математическая модель:

Уравнение колебания струны - гиперболическое уравнение на отрезке.

-5

Где u(t,x) - смещение струны в точке x и времени t, a - скорость распространения волны на струне (a^2 = To/po).

Начальные условия:

Форма струны в начальный момент:

-6

Начальная скорость струны:

-7

- струна отпущена из состояния покоя.

Граничные условия:

Закрепленные концы струны: смещение на концах струны равно нулю

u(t, 0) = 0

u(t, 1) = 0

Получаем:

-8

Граничные условия:

-9

Начальные условия:

-10

Как выглядит решение?

Мы получили краевую задачу Штурма — Лиувилля, Решение которой может быть получено методом разделения переменных.

После долгих вычислений получается:

-11

Да, это сложно. Но главное — идея:

Движение струны можно разложить на бесконечную сумму простых «волн», каждая из которых имеет свою частоту и амплитуду.

Это как симфония из чистых тонов: каждая волна играет свою роль.

Давайте посмотрим, как выглядят колебания струны, с помощью полученного решения.