Добавить в корзинуПозвонить
Найти в Дзене

Уравнение с параметром: три решения

Задача: Найти все значения параметра a, при которых уравнение имеет ровно три решения. 2. Следствие: Если x0-корень, то -x0 тоже корень. => Все корни, кроме возможного x = 0, образуют пары. 3. Условие для существования трех корней: Для получения нечетного числа решений необходимо: Подставляем x=0: Раскрываем уравнение: Корни: Случай a = 2: Уравнение: Можно легко решить графически: Случай a =2/3: Уравнение: Вторая скобка этого уравнения не меньше 1/9, следовательно, корень, если корень и есть, то он единственный и равен 0. Что означает, a = 2/3 нам не подходит. Ответ: a = 2
Оглавление

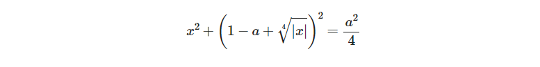
Задача:

Найти все значения параметра a, при которых уравнение

имеет ровно три решения.

Анализ задачи

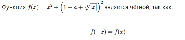
  1. Четность функции:
-2

2. Следствие:

Если x0-корень, то -x0 тоже корень. => Все корни, кроме возможного x = 0, образуют пары.

3. Условие для существования трех корней:

Для получения нечетного числа решений необходимо:

  • x = 0 - корень
  • Должна существовать ровно одна пара ненулевых корней +-x0

Решение

Подставляем x=0:

-3

Раскрываем уравнение:

-4

Корни:

-5

Случай a = 2:

Уравнение:

-6
-7

Можно легко решить графически:

-8
-9

Случай a =2/3:

Уравнение:

-10

Вторая скобка этого уравнения не меньше 1/9, следовательно, корень, если корень и есть, то он единственный и равен 0. Что означает, a = 2/3 нам не подходит.

Ответ: a = 2