Добавить в корзинуПозвонить
Найти в Дзене
Физика-блюз

Пизанская башня в XXI веке: эксперименты Галилея с элементарными частицами

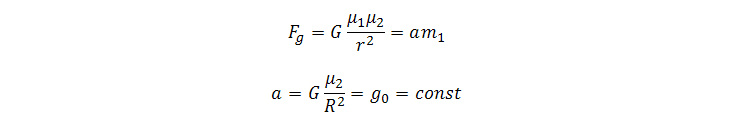
Начнем с одного общеизвестного еще во времена Галилея факта о свободном падении тел. Поскольку гравитационная (μ) и инертная (m) масса одного и того же тела являются постоянными величинами, и всегда количественно равны друг другу (μ1 = m1), постольку все тела падают с высот много меньших радиуса Земли (R) с одним и тем же постоянным ускорением (Fg - сила всемирного тяготения, a = const = g0, G – гравитационная постоянная): Однако если при рассмотрении свободного падения тел исходить из гипотезы гармонической переменности их масс, то в этом случае, ускорение свободного падения (УСП) перестает быть постоянной величиной (g0), и становится периодической переменной g(t). Ранее в ряде статей, опубликованных на канале «Физика-блюз» было выдвинуто и неоднократно использовано при рассмотрении некоторых физических явлений предположение о том, что гравитационная масса тела изменяется с течением времени по гармоническому закону: А выражение, описывающее изменение его инертной массы выглядит так: П

Начнем с одного общеизвестного еще во времена Галилея факта о свободном падении тел. Поскольку гравитационная (μ) и инертная (m) масса одного и того же тела являются постоянными величинами, и всегда количественно равны друг другу (μ1 = m1), постольку все тела падают с высот много меньших радиуса Земли (R) с одним и тем же постоянным ускорением (Fg - сила всемирного тяготения, a = const = g0, G – гравитационная постоянная):

-2

Однако если при рассмотрении свободного падения тел исходить из гипотезы гармонической переменности их масс, то в этом случае, ускорение свободного падения (УСП) перестает быть постоянной величиной (g0), и становится периодической переменной g(t). Ранее в ряде статей, опубликованных на канале «Физика-блюз» было выдвинуто и неоднократно использовано при рассмотрении некоторых физических явлений предположение о том, что гравитационная масса тела изменяется с течением времени по гармоническому закону:

-3

А выражение, описывающее изменение его инертной массы выглядит так:

-4

Поэтому, с учетом того, что масса Земли значительно больше массы падающих тел, и в силу этого изменяется с большей частотой (ω2 >> ω1), так что ее можно считать постоянной величиной (μ2 = const = μ20), получаем следующее, более строгое выражение для ускорения свободного падения:

-5

Дадим волю фантазии, и используем в качестве пробных тел элементарные частицы, которые будем откуда-нибудь «сбрасывать», например, с Пизанской башни. Одним словом, проведем несколько мысленных экспериментов с фундаментальными элементарными частицами: фотоном, нейтрино, протоном и электроном, движущимися в поле тяготения Земли.

Дело в том, что массы этих частиц, а, следовательно, и ускорения их свободного падения изменяются с течением времени по-разному, что должно сказываться на времени пребывания этих частиц в состоянии свободного полета. То есть, несмотря на одну и ту же высоту, с которой падают частицы и одинаковую начальную скорость их падения, эти частицы, даже одного типа, достигают нулевой отметки по вертикали не одновременно. Говоря другими словами, различными оказываются интервалы времени Δti, в течение которых продолжалось их падение, происходившее с постоянным, но неодинаковым для частиц разного типа, ускорением:

-6

Сравним между собой времена падения этих частиц, «сброшенных» с одной высоты и с одной и той же начальной скоростью, близкой к скорости света. Начнем с протона и электрона. Отношение квадратов времен их падения равно:

-7

То есть, перемножив записанные выше дроби, и проанализировав полученное в итоге выражение, с некоторым удивлением, обнаруживаем, что электрон формально опережает протон, достигая поверхности Земли немного раньше последнего:

-8

Сразу отметим, что порядок этих интервалов времени настолько мал, что на деле искомое отношение не отличается от единицы, и рассматриваемые частицы «падают» на Землю практически одновременно.

Теперь сравним время падения электрона и время падения фотона. Для фотона справедливо следующее. Так как масса покоя фотона нулевая (μγ0 = 0), то он падает в гравитационном поле Земли с постоянным, и более того отрицательным ускорением, что находится в согласии с постулатом специальной теории относительности (СТО) о предельности скорости света, но, на первый взгляд, противоречит постулату СТО о ее постоянстве. Одним словом, движение фотона оказывается равнозамедленным:

-9

Известно, что переменности массы частиц соответствует переменность скорости их перемещения. Так, в частности, в СТО это соответствие описывает хорошо известное выражение:

-10

А в рамках представлений о гармонической переменности массы, периодическому изменению последней соответствует незначительное по амплитуде, так же периодическое изменение скорости фотона. Эта скорость последовательно то увеличиваясь, то уменьшаясь, в среднем остается постоянной величиной (vγ = c), согласно следующему выражению:

-11
-12

Исходя из указанного соответствия, оценим порядок амплитуды изменения скорости фотона (Vγ). Скорость фотона в момент времени t = T/4 может быть определена двумя выражениями, приравняв которые друг другу, находим:

-13

Как и ожидалось, амплитуда изменения скорости света, действительно, в невообразимые 10^23 раз, меньше ее среднего значения.

Учитывая зависимость УСП электрона от времени, приходим к формальному выводу, что фотон, падая с той же высоты, что и частицы вещества, опережает их в этом падении, в частности, опережает электрон, прибытие которого регистрируется несколько позже:

-14

И снова кажется совершенно невозможным экспериментально зафиксировать столь мизерную разницу во времени прибытия частиц, имеющую чисто принципиальное значение, важное лишь для теоретиков. Впрочем, возможно, оптимизма экспериментаторам добавит сравнение времени падения фотона с временем падения его «ближайшего родственника» нейтрино, масса и УСП которого соответственно равны:

-15

Полученное неравенство может легко ввести в заблуждение, так как, на первый взгляд, означает, что нейтрино в своем падении опережает фотон, то есть может двигаться со скоростью большей скорости света, но это невозможно. Да, прибытие нейтрино регистрируется раньше прибытия фотона, но вовсе не потому, что его скорость больше скорости света, а потому, что ускорение свободного падения нейтрино превышает ускорение свободного падения фотона.

Как выяснилось, самое интересное здесь то, что в отличие от опережения фотонами электронов и протонов, отставание самих фотонов от нейтрино уже было зафиксировано экспериментально около пятнадцати лет назад, но это был образцово показательный пример того, как «вместе с водой выплеснули и ребенка». Напомню основные моменты этой драматичной истории.

В конце сентября 2011 года и в июле 2012 года группа ученых, состоявшая из сотрудников международной научной коллаборации OPERA, опубликовала результаты своих экспериментов по регистрации мюонных нейтрино («Measurement of the neutrino velocity with the OPERA detector in the CNGS beam»). Исследователями было обнаружено, что некоторые нейтрино из общего потока этих частиц якобы перемещаются со скоростью на 0,0025% (приблизительно на 7,5 км/с) превышающей скорость света. В последнем предложении подчеркну ключевое слово «некоторые».

-16

Разумеется, физическое сообщество отнеслось к такому сообщению настороженно и с понятным скептицизмом, через несколько месяцев буквально вынудив авторов опубликованной статьи выступить с опровержением своих выводов. В конце концов, причиной получения «ошибочных» данных признали плохо вставленный разъем одного из оптических кабелей. Подобное объяснение и сейчас выглядит, по меньшей мере, странным, если не смехотворным. Группа из опытных экспериментаторов высокой квалификации, не первый год работающих в одной команде, и вдруг, неправильно подключенный кабель. Извините, но в такое верится с трудом.

Зацепимся, в произошедших тогда событиях, за допущение того, что частицы перемещаются по траектории классического тела, брошенного под углом δ к горизонту. Это, конечно, очень грубое, во всех отношениях, модельное приближение, но, тем не менее, воспользуемся им.

-17

Расстояние по прямой (AB = sm) между источником нейтрино (CERN) и их детектором (OPERA) составляет 730534,61 ± 0,20 метров. На его прохождение фотоны затрачивают время Δtγ равное примерно 0,0024 секунды. Кроме того, описывая за это время параболу, почти не отличающуюся от дуги ADB, они успевают подняться и опуститься по вертикали на весьма малую величину, достигающую в точке D максимума равного Δh:

-18

Ультрарелятивистские нейтрино, проходя то же расстояние по прямой, и поднимаются также на одинаковую высоту, но делают они это за другое время Δtν, вследствие того, что gν ≠ gγ. Сравним указанные времена между собой:

-19

Опираясь на гениальную идею де Бройля о волновых свойствах частиц и наше предположение о переменности их массы, вычислим период и частоту изменения массы нейтрино, соответственно равные (h - постоянная Планка, c – скорость света, Mν – амплитуда изменения массы нейтрино):

-20

Согласно полученному выше выражению для Δtν, найдем времена пребывания нейтрино в полете, фиксируемые в течение нескольких секунд через каждые полсекунды, то есть в моменты времени t = t + 0,5 с.

-21

Разность времен регистрации фотонов и некоторых нейтрино имеет, таким образом, порядок от десятков наносекунд и более, что как раз и было совершенно случайно обнаружено сотрудниками группы исследователей коллаборации OPERA.

-22

На графиках распределения моментов регистрации нейтрино, построенных физиками, например, на вот этом, видно, что нейтринные данные (черные точки) начинаются примерно на 1048 нс раньше опорного фотонного сигнала (сплошная красная кривая). Но даже после тщательного учета возможных погрешностей измерений и задержек срабатывания электроники эта разница не стала нулевой, а лишь уменьшилась до 60 нс.

Разумеется, ни в квалификации, ни в добросовестности экспериментаторов, собиравших данные в течение нескольких лет, нет никаких сомнений, однако в интерпретации полученных результатов они допустили «роковую» для себя ошибку, не найдя ничего лучшего, чем объяснить разницу во времени прибытия фотонов и нейтрино превышением последними скорости света. Тогда как, на самом деле, исследователи всего лишь обнаружили, и измерили интервал между моментами прибытия в лабораторию OPERA нейтрино и последующего появления в ней фотонов - промежуток времени, не имеющий ни малейшего отношения к скорости света. В действительности, гораздо более вероятной и намного менее скандальной причиной этой разницы может служить использованное в данной статье предположение об отличии ускорения свободного падения нейтрино от ускорения свободного падения фотона. Вообще, было бы неплохо, если эта публикация, несмотря на срок давности рассказанной на ее страницах весьма показательной истории, смогла бы хоть как-то способствовать профессиональной реабилитации сотрудников OPERA, посмевших в свое время посягнуть на «святое» - скорость света (в чем, на самом деле, не было никакой необходимости - погорячились ребята), чтобы потом быть наказанными необходимостью вынужденного отречения от результатов своих исследований.

PS.

И наконец, в завершение, не могу не упомянуть еще об одном интересном моменте: кроме истории OPERA с нейтрино и фотонами, с равнозамедленным падением фотонов можно связать давно известный специалистам эффект «красно-синего» гравитационного смещения электромагнитного излучения, распространяющегося в поле тяготения Земли, обычно объясняемый разностью гравитационных потенциалов на разной высоте, но это тема для отдельного разговора.