Найти в Дзене
Математика не для всех

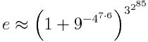
Приближённое значение числа «е», предложенное Ричардом Сейби, использует цифры от 1 до 9 и является точным с точностью до более чем семи

Приближённое значение числа «е», предложенное Ричардом Сейби, использует цифры от 1 до 9 и является точным с точностью до более чем семи триллионов знаков.

Приближённое значение числа «е», предложенное Ричардом Сейби, использует цифры от 1 до 9 и является точным с точностью до более чем семи триллионов знаков.