Найти в Дзене
Мысль физика.

Формула площади Гаусса и при чем тут шнурки от ботинка?

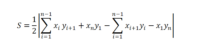
Для площадей различных геометрических фигур, расположенных на плоскости (банальные примеры: квадрат, окружность, овал, треугольник), есть множество формул. Очевидно, что любую геометрическую фигуру можно "запихать" в декартовые координаты (самая обычная координатная плоскость) без особых проблем. Просто тогда у каждой вершины будет своя пара координат - (x,y). К чему это все я? Так вот, существует такая формула, для вычисления площади многоугольника (причем какого угодно, необязательно выпуклого), называемая формулой площади Гаусса. Ее еще называют формулой землемера, формулой шнурования, или алгоритмом шнурования. Называйте так, как хотите, смысл не меняется. Перейдем к самой формуле: Где Выглядит жутковато? Неправда ли? Формула была описана Мейстером (1724—1788) в 1769 году и Гауссом в 1795 году. Она может быть проверена путём деления многоугольника на треугольники, но её также можно рассматривать как частный случай теоремы Грина. Доказательство этой формулы есть на просторах Интерн

Для площадей различных геометрических фигур, расположенных на плоскости (банальные примеры: квадрат, окружность, овал, треугольник), есть множество формул. Очевидно, что любую геометрическую фигуру можно "запихать" в декартовые координаты (самая обычная координатная плоскость) без особых проблем. Просто тогда у каждой вершины будет своя пара координат - (x,y).

К чему это все я? Так вот, существует такая формула, для вычисления площади многоугольника (причем какого угодно, необязательно выпуклого), называемая формулой площади Гаусса. Ее еще называют формулой землемера, формулой шнурования, или алгоритмом шнурования. Называйте так, как хотите, смысл не меняется.

Перейдем к самой формуле:

(Надеюсь, вы умеете работать со значком суммы. В противном случае, сначала разберитесь с ним, иначе статья для вас будет бесполезной)
(Надеюсь, вы умеете работать со значком суммы. В противном случае, сначала разберитесь с ним, иначе статья для вас будет бесполезной)

Где

-2

Выглядит жутковато? Неправда ли?

Формула была описана Мейстером (1724—1788) в 1769 году и Гауссом в 1795 году. Она может быть проверена путём деления многоугольника на треугольники, но её также можно рассматривать как частный случай теоремы Грина.

Доказательство этой формулы есть на просторах Интернета и здесь его приводить я не буду.

Однако есть и другие представления этой же формулы:

(det означает детерминант, или по простому - определитель)
(det означает детерминант, или по простому - определитель)

Где при расчетах примем:

(Мы сделали это не случайно: при расчетах по формулам, напрмер, возьмем пятиугольник, у нас получится "6-й икс", чего просто быть не может - у нас всего 5 вершин.)
(Мы сделали это не случайно: при расчетах по формулам, напрмер, возьмем пятиугольник, у нас получится "6-й икс", чего просто быть не может - у нас всего 5 вершин.)

Не знаю, как вам, но первые две формулы достаточно легко запоминаются.

В начале я замолвил слово о "шнурках". При чем тут шнурки? Все просто: если расписать первую формулу (и вынести знак минус как общий множитель), то получим

-5

Если записать координаты в столбик

-6

и отметить пары координат, которые нужно перемножить, получим вот такое выражение:

-7

Правда, очень похоже на шнурки?

Формулой шнурования или шнуровкой Гаусса данная формула названа именно поэтому.

Попробуем этот метод нахождения площади на практике. Найдем площадь следующего многоугольника:

-8

Выписываем пары координат и считаем по любой из формул:

-9

Вуаля, ответ готов.

Очень удобно, если фигура вся "переломанная" и "угловатая".

Кстати, в формуле необязательно должны быть целочисленные значения вершин, вы можете подставлять любое действительное число. Это тоже одно из преимуществ данного метода. Вторым преимуществом будет тот факт, что площадь никак не зависит от того, по часовой мы "обходим" вершины или против. Результат будет один и тот же.

Напишите в комментариях, как вам статья (она получилась достаточно краткой), какие темы вы бы хотели увидеть на моем канале. А я лишь желаю вам удачи, дорогие читатели!