Найти в Дзене

Минутка математики. Ковариация

Ковариация — в теории вероятностей и математической статистике мера линейной (!) зависимости двух случайных величин. Ковариация (корреляционный момент) Kxy случайных величин X ,Y это математическое ожидание произведения отклонений этих величин от своих математических ожиданий. Где Кху - ковариация XY, M(Х,Y) - мат. ожидание, ax, ay - отклонение от мат. ожидания, n - количество измерений Ковариация показывает рассеивание случайных величин вокруг точки (ax, ay ) Если ковариация >0, большие значения одной переменной соответствуют большим значениям другой переменной. Зависимость прямая/ Если ковариация <0, большие значения одной переменной соответствуют меньшим значениям другой и наоборот. Зависимость обратная. Величина ковариации не нормирована и зависит от размерности величин. Нормализованная версия ковариации — коэффициент корреляции . Если линейная зависимость не найдена используют метод парных регрессий. Пример 1 Предположим, что доход компании (Х) в зависимости от ситуации на рынке

Ковариация — в теории вероятностей и математической статистике мера линейной (!) зависимости двух случайных величин.

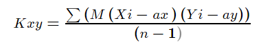
Ковариация (корреляционный момент) Kxy случайных величин X ,Y это математическое ожидание произведения отклонений этих величин от своих математических ожиданий.

(1)
(1)

Где Кху - ковариация XY,

M(Х,Y) - мат. ожидание,

ax, ay - отклонение от мат. ожидания,

n - количество измерений

Ковариация показывает рассеивание случайных величин вокруг точки (ax, ay )

Если ковариация >0, большие значения одной переменной соответствуют большим значениям другой переменной. Зависимость прямая/

Если ковариация <0, большие значения одной переменной соответствуют меньшим значениям другой и наоборот. Зависимость обратная.

Величина ковариации не нормирована и зависит от размерности величин. Нормализованная версия ковариации — коэффициент корреляции . Если линейная зависимость не найдена используют метод парных регрессий.

Пример 1

Предположим, что доход компании (Х) в зависимости от ситуации на рынке может принимать значения 1 млн. руб. с вероятностью 0,5, 2,5 млн. руб. с вероятностью 0,3 и 5 млн. руб. с вероятностью 0,2.

Затраты компании на рекламу (Y) могут принимать значения 0,1 млн. с вероятностью 0,6, 0,3 млн. с вероятностью 0,3 и 0,5 млн. с вероятностью 0,1.

Рассчитайте ковариацию Х и У

Вычислим математическое ожидание дохода.

М(X) = 1*0,5+2,5*0,3+5*0,2=2,25 млн.

Найдем отклонения Х от математического ожидания

1-2,25 = -1,25

2,5-2,25 = 0,25

5-2,25 = 2,75

Вычислим математическое ожидание расходов на рекламу

M (Y) =0,1*0,6+0,3*0,3+0,5*0,1= 0,2 млн.

Найдем отклонения У от математического ожидания

0,1-0,2=-0,1

0,3-0,1=0,1

0,5-0,2=0,3

Определим ковариацию

Kxy =((-1,25*-0,1)+(0,25*0,1)+(2,75*0,3))/(3-1) = 0,4875

Ковариация больше нуля. Значит увеличение расходов на рекламу влияет на увеличение дохода.