Найти в Дзене

Решение интересной 34 задачи на ЕГЭ по химии 2025 года

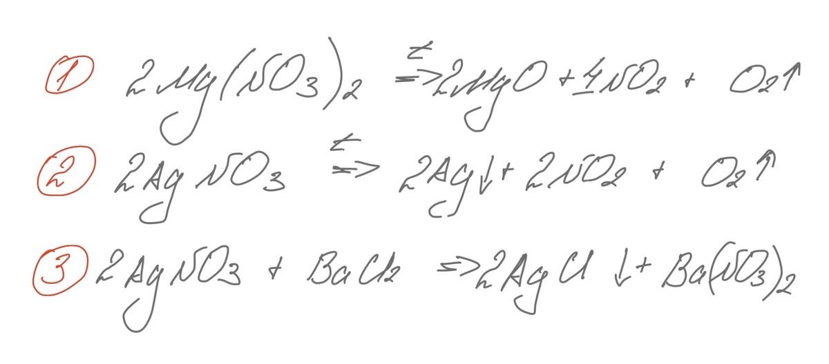
34 задачи этого года похожи в логике решения на 2024 год. Просто немного перемешали условия разных задач, а смысл остался прежним. Сегодня рассмотрим логику решение одной из 34 задач: В навеске нитрата магния и нитрата серебра массовая доля элемента азота равна 0,1148. При прокаливании данной навески до постоянной массы выделяется кислород объемом 6,72 л (н.у.). Такую же навеску растворили в 500 мл воды, после чего добавили 200 мл хлорида бария с молярной концентрацией 0,3 моль/л. Найдите массовую долю ионов магния в конечном растворе. Плотность всех растворов примите равной 1 г/мл. В ответе запишите уравнения реакций, которые указаны в условии задачи, и приведите все необходимые вычисления (указывайте единицы измерения и обозначения искомых физических величин). РЕШЕНИЕ ВСЕЙ ЗАДАЧИ В КОНЦЕ СТАТЬИ Начинаем решение любой задачи с уравнения реакций: «Навеска» означает горсть двух смешанных солей. При прокаливании процесс разложения веществ происходит независимо друг от друга, поэтому

34 задачи этого года похожи в логике решения на 2024 год. Просто немного перемешали условия разных задач, а смысл остался прежним.

Сегодня рассмотрим логику решение одной из 34 задач:

В навеске нитрата магния и нитрата серебра массовая доля элемента азота равна 0,1148.

При прокаливании данной навески до постоянной массы выделяется кислород объемом 6,72 л (н.у.).

Такую же навеску растворили в 500 мл воды, после чего добавили 200 мл хлорида бария с молярной концентрацией 0,3 моль/л. Найдите массовую долю ионов магния в конечном растворе.

Плотность всех растворов примите равной 1 г/мл. В ответе запишите уравнения реакций, которые

указаны в условии задачи, и приведите все необходимые вычисления (указывайте единицы измерения и обозначения искомых физических величин).

РЕШЕНИЕ ВСЕЙ ЗАДАЧИ В КОНЦЕ СТАТЬИ

Начинаем решение любой задачи с уравнения реакций:

-2
«Навеска» означает горсть двух смешанных солей. При прокаливании процесс разложения веществ происходит независимо друг от друга, поэтому мы пишем ДВА уравнения реакции 1 и 2.
Дальше по условию та же навеска реагирует с хлоридом бария, а значит каждое вещество независимо друг от друга вступает в реакцию с хлоридом бария.
Часто в таких задачах какое-то из веществ, входящих в состав смеси, в реакцию с реагентом не вступает, что происходит и тут. Вспоминаем правило взаимодействия двух солей - должно соблюдаться РИО, т.е. либо выпадать осадок, либо выделяться газ, либо образовываться вода.
По этой причине реакция
Mg(NO3)2+ BaCl2 не проходит, и ее можно не писать.
Значит хлорид бария будет реагировать только с нитратом серебра , входящем в состав навески- реакция 3.
Не забываем , что все уравнения необходимо уравнять.

Дальше разбираемся с условием. Так как в смеси наших исходных солей массовая доля атома азота равна 0,1148, то мы можем ее выразить через уравнение.

Мы не знаем как связаны по количеству нитрат серебра и магния между собой, а значит никак не можем их соотнести.

В таких задачах, когда мы ничего не знаем про связь веществ, нам нужно вводить две переменные.

Неизвестные лучше всегда вводить в молях тк так есть возможность через уравнение перейти от одного вещества к другому.

Пусть нитрата магния взяли х моль , а нитрата серебра - y моль. Тогда в нитрат магния входит 2 атома азота, а значит там его 2х моль, а в нитрат серебра 1 атом азота, а значит его у моль.

-3

Получается общее количество азота 2х+y.

нам дана массовая доля азота в смеси. Для расчета массовой доли нам необходимо воспользоваться формулой w=mв-аа/mр-ра. Тогда нам необходимо найти массу атомов азота, входящих в состав смеси. И массу самой навески- в нашем случае это будет масса смеси ( раствора) для формулы.
-4

А теперь массу всего азота и массу всей смеси подставляем в формулу массовой доли :

-5

У нас получилось уравнение с двумя неизвестными , значит нам точно необходимо втрое уравнение для решения системы.

На следующем этапе переходим к кислороду и находим общее количество выделившегося газа в молях:

-6

Мы можем выразить моль кислорода через моли наших солей.

-7

Для этого идем в уравнение и смотрим на коэффициенты реакции. В 1 уравнении соотношение нитрата магния к кислороду 2:1 ( тк у нитрата стоит 2, а у кислорода 1), значит в молях кислорода должно быть в два раза меньше, чем нитрата магния. Тоже самое происходит и во стором уравнении.
-8

Теперь у нас есть второе уравнение по количеству кислорода 0,5х+0,5у=0,3

И мы можем составить систему уравнений из уравнений а и б:

-9

Решаем выражая одну переменную через другую:

-10

Теперь мы знаем, в каком соотношении взяты соли навески.

На втором этапе задачи взяли эту же навеску и растворили в воде. Данная информация пригодится нам для расчета массы раствора , больше количество воды ни на что не влияет.

Разбираемся с хлоридом бария.

молярная концентрация это отношение количества растворенного вещества к объему раствору
-11

Чтоб найти сколько хлорида бария было добавлено , нужно 200 мл перевести в литры и дальше 0,3*0,2=0,06 моль

Так как реакция хлорида бария с нитратом магния не идет, то весь хлорид бария вступил в реакцию с нитратом серебра.

Помним! Расчеты ведутся по веществу , взятому в недостатке.

-12

-13
Нам было необходимо понять по какому веществу мы будет считать , для дальнейшего определения количества выпавшего осадка AgCl и расчета массы раствора.

Масса раствора считается по исходным веществам , которые добавляются в раствор, и вычитании из этой суммы осадков или газов, которые больше не являются частью раствора!

-14
Мы можем взять объем 200 мл BaCl2 и сложить его с массой солей в граммах тк в условии прописано, что плотность всех веществ можно взять за 1 г/мл, а значит 200 мл= 200гр. В противном случае мы ВСЕГДА переводим в одни единицы измерения

Количество Ионов магния равно количество нитрата магния

Количество Ионов легко увидеть при разложении соли ионы. Из 1 моль вещества образуется 1 моль катиона и 2 моль аниона, значит соотношения 1:1:2:
-15

Теперь находим массу Иона , умножая количество на атомную массу:

-16

И наконец рассчитываем массовую долю Ионов :

-17

Решение всей задачи целиком :

-18

-19

-20