Добавить в корзинуПозвонить
Найти в Дзене
Артур Рыкалин

Как готовиться к поступлению в МиФ РЭШ по математике? Задача на поиск наименьшего значения функции из ЕГЭ

Математика пригождается даже после бакалавриата, когда нужна поступать на уважаемую программу РЭШ по финансам. На эту программу намного легче поступить, чем на довольно сложную и математизированную программу РЭШ. Тут и больше практики, и больше ориентация на работающих людей в сфере финансов не после «мехматов». Рассмотрим одну задачу из входного теста, которая в похожей интерпретации присутствует в ЕГЭ по математике (ученики завтра его пишут, сегодня как раз нарабатывали часть заданий). Эта задача на экстремумы и на наибольшее или наименьшее значение. Требуется найти наименьшее значение функции f(x)=(x+2)^2*exp(-x) и точку его достижения, если она есть. 1) Можно заметить, что функция неотрицательная, так как состоит из произведения неотрицательного выражения (полный квадрат) и положительной экспоненты. У неотрицательной функции наименьшее значение может быть равно нулю. Оно достижимо в точке x=-2. В принципе задача решена. 2) Можно дольше и скучнее подступаться формально. Берём произв

Математика пригождается даже после бакалавриата, когда нужна поступать на уважаемую программу РЭШ по финансам. На эту программу намного легче поступить, чем на довольно сложную и математизированную программу РЭШ. Тут и больше практики, и больше ориентация на работающих людей в сфере финансов не после «мехматов».

Рассмотрим одну задачу из входного теста, которая в похожей интерпретации присутствует в ЕГЭ по математике (ученики завтра его пишут, сегодня как раз нарабатывали часть заданий). Эта задача на экстремумы и на наибольшее или наименьшее значение. Требуется найти наименьшее значение функции f(x)=(x+2)^2*exp(-x) и точку его достижения, если она есть.

1) Можно заметить, что функция неотрицательная, так как состоит из произведения неотрицательного выражения (полный квадрат) и положительной экспоненты. У неотрицательной функции наименьшее значение может быть равно нулю. Оно достижимо в точке x=-2. В принципе задача решена.

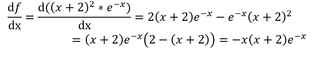
2) Можно дольше и скучнее подступаться формально. Берём производную, приравниваем её к нулю, наносим «подозрительные» точки на ось, расставляем интервалы, наносим знаки производной, определяем участки возрастная и убывания функции.

Производная принимает нулевое значение в точках (-2) и 0. Знаки трёх интервалов, образованных двумя этими точками, чередуются начиная от минуса. Поэтому x=-2 – точка локального минимума, а x=0 точка локального максимума. Если x стремится к «положительной» бесконечности, то функция будет стремиться к нулю сверху (экспонента растёт быстрее квадрата), если к «отрицательной», то функция стремится к «положительной» бесконечности. Из эскиза также виден ответ.

-2

#педагогика #преподавание #егэ #экономика #математика #ib #alevel #научение #экономика #эконометрика #микроэкономика #макроэкономика #НамНужнаИнаяШкола #ЯндексПрактикум #ЗФТШ #МФТИ #Физтех #ДПО #ЦентральныйУниверситет