Найти в Дзене

Решение всех типов 20 задания, которые могут быть завтра на ОГЭ по математике

Решение всех типов 20 задания, которые могут быть завтра на ОГЭ по математике ⤵️ В сливах есть 5 типов 20 задания: - со знаменателем - с корнем - с 4 степенью - выражение - система *числа могут быть другие, показываю сам способ решения Сделать такой разбор по всем заданиям? 50 реакций и выкладываю 21 задание 🔥

Решение всех типов 20 задания, которые могут быть завтра на ОГЭ по математике ⤵️

В сливах есть 5 типов 20 задания:

- со знаменателем

- с корнем

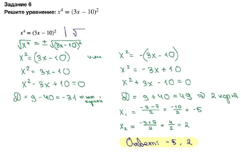
- с 4 степенью

- выражение

- система

*числа могут быть другие, показываю сам способ решения

Сделать такой разбор по всем заданиям? 50 реакций и выкладываю 21 задание 🔥

-2
-3
-4
-5