Добавить в корзинуПозвонить
Найти в Дзене
Плохой Программист

Дополнительные главы физики: гидростатика. 7 класс. Давление твёрдых тел

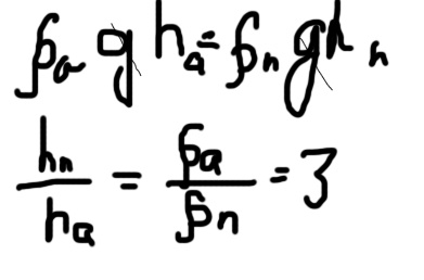
Два цилиндра, один алюминиевый, а второй из парафина, стоят на столе. Плотность алюминия ρ1=2,7г/см3, плотность парафина ρ2=0,9 г/см3. Давления цилиндров на стол одинаковы и равны p. Если цилиндр из парафина поставить на алюминиевый цилиндр, давление полученной конструкции на стол станет равно 5p. Определите отношение высоты цилиндра из парафина к высоте алюминиевого цилиндра. Ответ округлите до десятых. Для ответа на этот вопрос достаточно только половины данных. Давления цилиндров одинаковые, сила с которой они давят на стол равна их силе тяжести, значит давление на стол наше любименькое ро жэ аш. И теперь надо эти давления просто приравнять. Ответ 3 Определите отношение площади сечения цилиндра из парафина к площади сечения алюминиевого цилиндра S2/S1. Ответ округлите до десятых. А теперь самое время вспомнить, что цилиндр из парафина поставили на цилиндр из алюминия. Давление с одной стороны получилось как сила тяжести 2х цилиндров, деленная на площадь сечения цилиндра из алюминия
Два цилиндра, один алюминиевый, а второй из парафина, стоят на столе. Плотность алюминия ρ1=2,7г/см3, плотность парафина ρ2=0,9 г/см3. Давления цилиндров на стол одинаковы и равны p. Если цилиндр из парафина поставить на алюминиевый цилиндр, давление полученной конструкции на стол станет равно 5p.
Определите отношение высоты цилиндра из парафина к высоте алюминиевого цилиндра. Ответ округлите до десятых.

Для ответа на этот вопрос достаточно только половины данных.

Давления цилиндров одинаковые, сила с которой они давят на стол равна их силе тяжести, значит давление на стол наше любименькое ро жэ аш.

И теперь надо эти давления просто приравнять.

Ответ 3

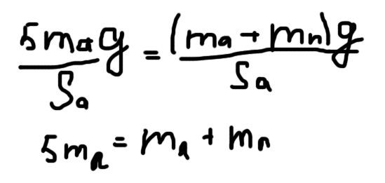
Определите отношение площади сечения цилиндра из парафина к площади сечения алюминиевого цилиндра S2/S1. Ответ округлите до десятых.

А теперь самое время вспомнить, что цилиндр из парафина поставили на цилиндр из алюминия.

Давление с одной стороны получилось как сила тяжести 2х цилиндров, деленная на площадь сечения цилиндра из алюминия. А с другой стороны это 5р. А мы помним, что р это сила тяжести цилиндра из алюминия, деленная на площадь сечения цилиндра из алюминия.

Приравниваем.

-2

Выходит, цилиндр из парафина в 4 раза тяжелее.

-3

Ответ 4

Найдите отношение диаметров цилиндров d2/d1. Ответ округлите до десятых.

Так как площадь сечения образуется из диаметра в квадрате, то площади соотносятся как диаметры в квадрате.

Значит соотношения диаметров это корень из 4.

Ответ 2

В условиях задачи №13 алюминиевый цилиндр ставят на цилиндр из парафина. Какое давление такая конструкция оказывает на стол? Ответ дайте в единицах p, округлив до сотых.

Мы уже все вычислили - mп=4*mа, а значит масса всей конструкции 5*mа.

Раз внизу стоит цилиндр из парафина, то нас интересует его площадь сечения, а она равна 4м площадям цилиндра из алюминия.

В итоге получаем давление 5*mа*g/4Sа, а так как мы помним с самого начала, что mа*g/Sа ни что иное как р, значит давление всей этой конструкции 1.25 р

Ответ 1.25

Другие задачи раздела