Найти в Дзене
N + 1

Физики передали квантовые ключи на 254 километра

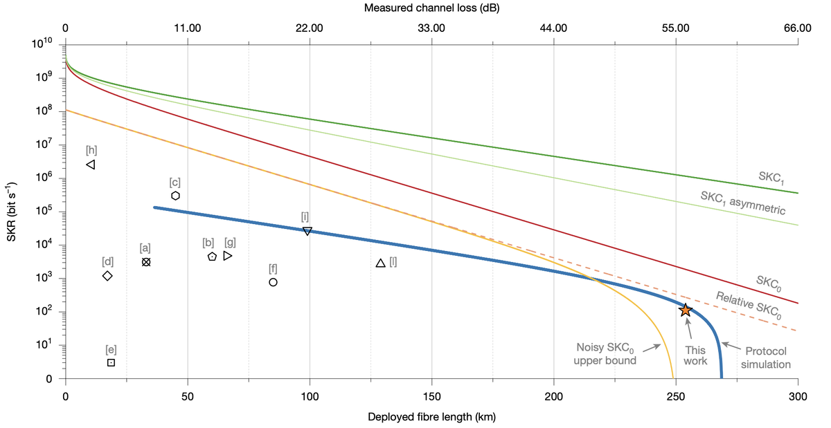
Физики из Великобритании реализовали протокол полей-близнецов (TF-QKD) квантового распределения ключей на базе существующих телекоммуникационных сетей между городами Франкфурт и Кель в Германии. Им удалось установить устойчивую передачу шифровальных ключей на расстояние почти 254 километра по оптоволоконным кабелям. Результаты опубликованы в журнале Nature. Протокол полей-близнецов (TF-QKD) — один из наиболее перспективных квантовых протоколов для безопасного обмена информацией на больших расстояниях без использования квантовых повторителей. Ключевая проблема таких протоколов — необходимость поддерживать строгую фазовую когерентность между удалёнными узлами сети, что до сих пор требовало использования дорогих и сложных приборов вроде сверхстабильных лазеров и сверхпроводящих фотодетекторов. Более того, передача квантовых ключей по существующим телекоммуникационным сетям — еще более сложная задача из-за помех, вызванных рассеянием света. Недавно мы писали о том, как ученым удалось перед
  Mirko Pittaluga et al. / Nature, 2025
Mirko Pittaluga et al. / Nature, 2025

Физики из Великобритании реализовали протокол полей-близнецов (TF-QKD) квантового распределения ключей на базе существующих телекоммуникационных сетей между городами Франкфурт и Кель в Германии. Им удалось установить устойчивую передачу шифровальных ключей на расстояние почти 254 километра по оптоволоконным кабелям. Результаты опубликованы в журнале Nature.

Протокол полей-близнецов (TF-QKD) — один из наиболее перспективных квантовых протоколов для безопасного обмена информацией на больших расстояниях без использования квантовых повторителей. Ключевая проблема таких протоколов — необходимость поддерживать строгую фазовую когерентность между удалёнными узлами сети, что до сих пор требовало использования дорогих и сложных приборов вроде сверхстабильных лазеров и сверхпроводящих фотодетекторов. Более того, передача квантовых ключей по существующим телекоммуникационным сетям — еще более сложная задача из-за помех, вызванных рассеянием света. Недавно мы писали о том, как ученым удалось передать квантовые состояния одновременно с обычным трафиком, но всего на 30 километров.

Команда ученых под руководством Мирко Питталуги (Mirko Pittaluga) из Кембриджской исследовательской лаборатории Toshiba смогла реализовать протокол TF-QKD и передать квантовые состояния на 254 километра по оптоволоконным кабелям обычных телекоммуникационных сетей. Для поддержания когерентности ученые стабилизировали фазу при помощи дополнительных опорных сигналов на отдельной частоте и полупроводниковых фотодетекторов, которые не требуют глубокого охлаждения. Такая система обеспечивает низкий уровень шума и стабильность сигнала, необходимую для протокола TF-QKD.

  Mirko Pittaluga et al. / Nature, 2025
Mirko Pittaluga et al. / Nature, 2025

В результате ученым удалось передать квантовые состояния на 254 километра по коммерческим оптоволоконным сетям со скоростью около 110 бит в секунду с общей потерей сигнала 56 дБ. Более того, по словам ученых, реальная оптоволоконная инфраструктура оказалась даже стабильнее, чем лабораторные условия. Новая реализация протокола превзошла классические пределы по дальности и скорости квантового распределения ключей без использования повторителей и без необходимости криогенного оборудования.

Более подробно о протоколе TF-QKD читайте в нашем материале «Квантовая связь без лишнего шума».

Наука
7 млн интересуются