Найти в Дзене

Дополнительные главы физики: гидростатика. 7 класс. Смеси и сплавы

Слиток одного металла сплавили со слитком второго металла так, что получился сплав, имеющий плотность, в 1,25 превышающую плотность второго металла. Определите отношение плотности первого металла к плотности сплава ρ1:ρспл, если известно, что объём слитка первого металла в 2 раза превышает объём слитка второго металла. Ответ округлите до десятых. Объем сплава 3V, масса 1 металла р1*2V, масса 2 металла р2*V, плотность сплава - 1.25р2. Ответ 1.1 Другие задачи раздела
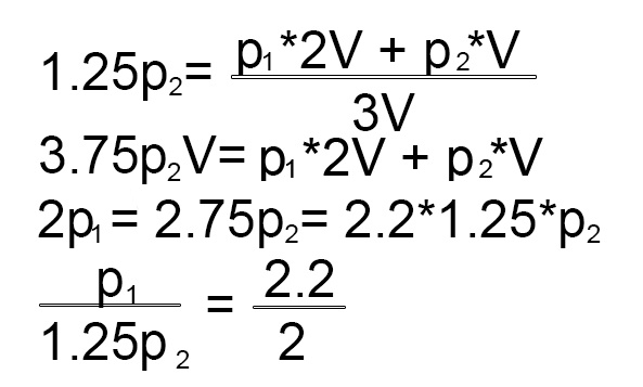
Слиток одного металла сплавили со слитком второго металла так, что получился сплав, имеющий плотность, в 1,25 превышающую плотность второго металла. Определите отношение плотности первого металла к плотности сплава ρ1:ρспл, если известно, что объём слитка первого металла в 2 раза превышает объём слитка второго металла. Ответ округлите до десятых.

Объем сплава 3V, масса 1 металла р1*2V, масса 2 металла р2*V, плотность сплава - 1.25р2.

Ответ 1.1

Другие задачи раздела