Найти в Дзене

Дополнительные главы физики: гидростатика. 7 класс. Смеси и сплавы

Латунную деталь получили, сплавив брусок меди и брусок цинка. Найдите отношение объёма бруска меди к объёму бруска цинка Vм:Vц, если плотность меди ρм=8,9 г/см3, плотность цинка ρц=7,1 г/см3, плотность латуни ρл=8,4 г/см3. Ответ округлите до десятых. Как всегда - фундамент таких задач - это формула плотность сплава = масса сплава делить на его объем. Теперь расписываем её в реалиях задачи. Ответ 2.6 Другие задачи раздела
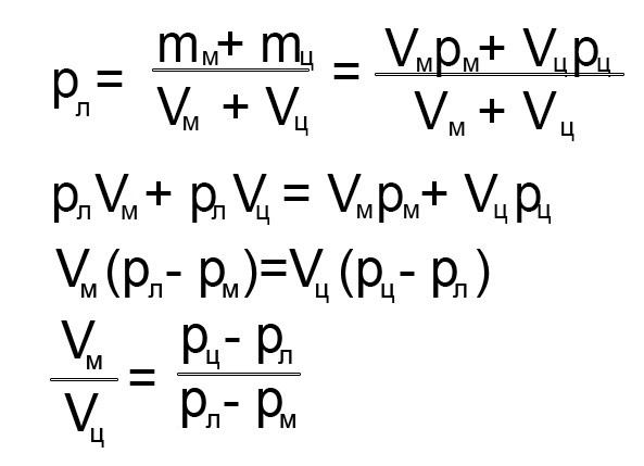
Латунную деталь получили, сплавив брусок меди и брусок цинка. Найдите отношение объёма бруска меди к объёму бруска цинка Vм:Vц, если плотность меди ρм=8,9 г/см3, плотность цинка ρц=7,1 г/см3, плотность латуни ρл=8,4 г/см3. Ответ округлите до десятых.

Как всегда - фундамент таких задач - это формула плотность сплава = масса сплава делить на его объем. Теперь расписываем её в реалиях задачи.

Ответ 2.6

Другие задачи раздела