Добавить в корзинуПозвонить
Найти в Дзене
Математика - просто!

Решение тригонометрического уравнения — задание №13

Решение тригонометрического уравнения — задание №13 💥 Есть разные способы решения: разложение на множители, применение формул, решение однородных уравнений… Есть особые уравнения — они требуют не ординарного подхода и знания свойств функций. Например, свойство ограниченности — sinX и cosX по модулю не превышают единицу. Казалось бы, просто, но очень важно! Подробный разбор решения таких уравнений Вы можете посмотреть в видео — это короткий, но очень полезный и БЕСПЛАТНЫЙ урок от меня. А если останутся вопросы — приходите на Персональную встречу, и я помогу Вам записаться на занятия 😉 #Видеоуроки@prostomatematika #задачи@prostomatematika

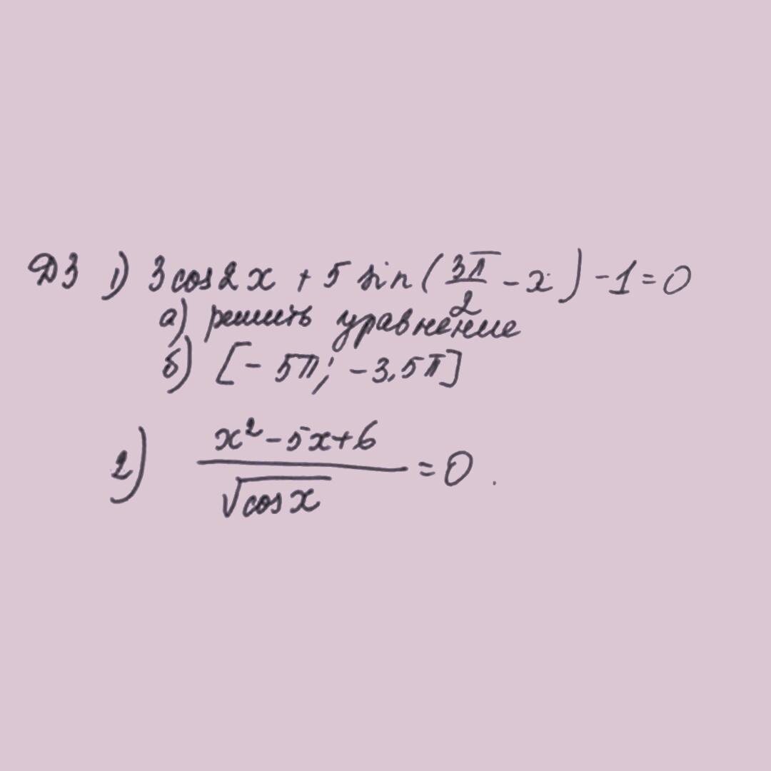
Решение тригонометрического уравнения — задание №13 💥

Есть разные способы решения: разложение на множители, применение формул, решение однородных уравнений…

Есть особые уравнения — они требуют не ординарного подхода и знания свойств функций. Например, свойство ограниченности — sinX и cosX по модулю не превышают единицу. Казалось бы, просто, но очень важно!

Подробный разбор решения таких уравнений Вы можете посмотреть в видео — это короткий, но очень полезный и БЕСПЛАТНЫЙ урок от меня. А если останутся вопросы — приходите на Персональную встречу, и я помогу Вам записаться на занятия 😉

#Видеоуроки@prostomatematika

#задачи@prostomatematika

-2
-3