Добавить в корзинуПозвонить
Найти в Дзене
Вокруг да около

Дневник репетитора: домашняя работа на пять страниц. Миф или...

И это в шестом классе! Ко мне обратилась мама шестиклассника (на момент обращения я не знала возраст ученика). Она написала мне в одном из мессенджеров и спросила: "Почему учитель недоволен выполненным заданием?Что не так? Решали заново. Ответ совпадает" Примерное оформление одного задания В оригинале оно занимает место в три раза больше из за дополнительных вычислений, например 157*18 в столбик и тп Мой встречный вопрос "Скажите, пожалуйста, ребёнок учится в ШЕСТОМ классе?" и ответ "Да. Как ВЫ догадались?" Во-первых, детальное расписывание не свойственно ученикам старших классов, во-вторых, так учат складывать в четвёртом, допущу, что даже в пятом классе, НО получающиеся числа 540; 4296 и тд "говорят" о том, что такое громоздкое по объёму задание в этих классах не даётся. А вот в шестом классе мы выходим на новый уровень обучения, учим и закрепляем НОВЫЕ правила вычисления, которые позволяют быстро решить даже более сложные по форме задания. Допускаю во встречном вопросе, что ученик в
И это в шестом классе!

Ко мне обратилась мама шестиклассника (на момент обращения я не знала возраст ученика). Она написала мне в одном из мессенджеров и спросила: "Почему учитель недоволен выполненным заданием?Что не так? Решали заново. Ответ совпадает"

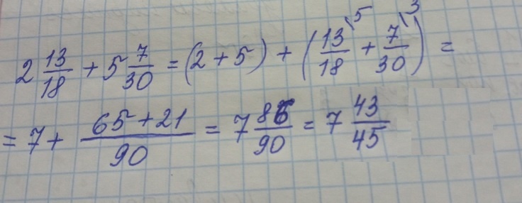
Примерное оформление одного задания

В оригинале оно занимает место в три раза больше из за дополнительных вычислений, например 157*18 в столбик и тп

Мой встречный вопрос "Скажите, пожалуйста, ребёнок учится в ШЕСТОМ классе?" и ответ "Да. Как ВЫ догадались?"

Во-первых, детальное расписывание не свойственно ученикам старших классов, во-вторых, так учат складывать в четвёртом, допущу, что даже в пятом классе, НО получающиеся числа 540; 4296 и тд "говорят" о том, что такое громоздкое по объёму задание в этих классах не даётся. А вот в шестом классе мы выходим на новый уровень обучения, учим и закрепляем НОВЫЕ правила вычисления, которые позволяют быстро решить даже более сложные по форме задания.

Допускаю во встречном вопросе, что ученик в среднем "имеет оценку 3" и снова оказываюсь права. Обратите внимание: КАКОЙ общий знаменатель он нашёл. Да он его и не искал, просто перемножил два знаменателя и вперёд к трёхзначным и четырёхзначным числам. Мы же не ищем лёгких путей! Зато потом утверждаем, что математика- это трудно!

Мама, увидев, что весь номер, состоящий из восьми подзаданий, занял в тетради около трёх страниц, пришла в ужас, а ведь было всего задано три номера, то есть вся «домашка» заняла пять страниц. Да ещё и учитель остался недоволен.

А ведь ответ (на удивление)верный. Как думаете, в чём тут дело?

Объясняю, что учитель недоволен тем, что ученик не знает правило сложения смешанных чисел, по которому сначала складываются целые части, потом дробные, к тому же в шестом классе ученики стараются находить наименьший общий знаменатель.

Показываю вариант решения и, кстати, он не требует дополнительных вычислений в "столбик"

-2

Так что, миф о пятистраничном домашнем задании развеян. В новом исполнении оно заняло чуть больше страницы.

Примечание: учителя не зарвались, требуя учить правила и выполнять их.

Например, можно жить в пещере, читать при свете лучины, получать огонь с помощью трения и тд, и тп. (можно продолжать бесконечно) Но, многие ли из вас так живут? Но ведь так тоже можно! Почему бы и нет!

Но нет, мы хотим и используем все возможно доступные нам блага, придуманные человечеством за всю историю своего существования.

Это другое? Нет, всё это стоит в одном ряду. Но почему-то претензии именно к учителям, которые ещё пытаются чему то научить.

До встречи!