Добавить в корзинуПозвонить
Найти в Дзене

Методика расчёта электрической мощности турбодетандера

Давление в магистральных газопроводах превышает 10 МПа(и), давление в газопроводах в пределах населённых пунктов - менее 0,6 МПа(и). Частичное снижение давления газа происходит из-за преодоления сопротивления его движению по трубам, но значительную часть перепада давления приходится уменьшать специально - дросселированием либо "заставляя" газ совершать полезную работу. Для полезного использования перепада давления газа применяют турбодетандер, представляющий собой центробежную или осевую турбину, в которой за счёт расширения газа совершается работа, используемая для привода генератора (выработки электроэнергии). Для идеального газа техническая (полезная) работа, совершаемая потоком газа при прохождении через турбодетандер 1 кг газа (удельная работа), находится по формуле: где p1 - абсолютное давление газа перед турбодетандером, Па; p2 - абсолютное давление газа за турбодетандером, Па; v1 - удельный объём газа перед турбодетандером, м3/кг; T1 - температура газа перед турбодетандером, К

Давление в магистральных газопроводах превышает 10 МПа(и), давление в газопроводах в пределах населённых пунктов - менее 0,6 МПа(и). Частичное снижение давления газа происходит из-за преодоления сопротивления его движению по трубам, но значительную часть перепада давления приходится уменьшать специально - дросселированием либо "заставляя" газ совершать полезную работу.

Для полезного использования перепада давления газа применяют турбодетандер, представляющий собой центробежную или осевую турбину, в которой за счёт расширения газа совершается работа, используемая для привода генератора (выработки электроэнергии).

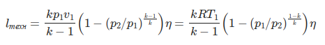
Для идеального газа техническая (полезная) работа, совершаемая потоком газа при прохождении через турбодетандер 1 кг газа (удельная работа), находится по формуле:

где p1 - абсолютное давление газа перед турбодетандером, Па; p2 - абсолютное давление газа за турбодетандером, Па; v1 - удельный объём газа перед турбодетандером, м3/кг; T1 - температура газа перед турбодетандером, К; k - показатель адиабаты; R - газовая постоянная, Дж/кг/К; η - коэффициент полезного действия турбодетандера.

Из приведённой формулы видно, что увеличение температуры газа (в градусах Кельвина) на X % даст прирост удельной работы на те же X %. Предельная температура нагрева газа - температура самовозгорания.

При совершении газом полезной работы l_техн его температура снижается на величину dt = l_техн*(k-1)/(k*R). Необходимо помнить, что температура газа на выходе из турбодетандера должна быть выше температуры точки росы.

Зависимость удельной работы турбодетандера и величины охлаждения газа от отношения давлений на входе и выходе турбодетандера при различных значениях температуры газа
Зависимость удельной работы турбодетандера и величины охлаждения газа от отношения давлений на входе и выходе турбодетандера при различных значениях температуры газа
Зависимость удельной работы турбодетандера и величины охлаждения газа от отношения давлений на входе и выходе турбодетандера при различных значениях температуры газа
Зависимость удельной работы турбодетандера и величины охлаждения газа от отношения давлений на входе и выходе турбодетандера при различных значениях температуры газа

Рассмотрим электростанцию с блоком ПГУ на базе ГТУ мощностью 160 МВт (тогда мощность блока ПГУ составит порядка 160+160/2=240 МВт). В качестве топлива ГТУ к электростанции подводится газ давлением 5 МПа(и). Для работы ГТУ достаточно, чтобы давление подводимого от магистрального газопровода к электростанции газа было не менее 3 МПа(и), таким образом в нашем примере величина p1/p2 в турбодетандере составит p1/p2=(5+0,101)/(3+0,101)=1,64

В котле-утилизаторе установлен водоводяной теплообменник для нагрева сетевой воды системы отопления до 110 С, что позволяет увеличить температуру газового топлива до 100 - 105 С.

По вышеприведённому графику для p1/p2=1,64 и t1=100 C находим l_техн=77 кДж/кг.

По приведённому в [1] графику определяем, что ГТУ мощностью 160 МВт с КПД=35% потребляет 9,2 кг/с метана.

Таким образом, если для снижения давления газа использовать турбодетандер, можно дополнительно вырабатывать (при КПД электрогенератора 100%) 77 * 9,2 = 709 кВт электроэнергии, что составляет менее 0,3% от мощности блока ПГУ.

Для того чтобы иметь возможность подавать газ на ГТУ в период обслуживания или ремонта турбодетандера должна быть предусмотрена байпасная линия.

Газ подогревается сетевой водой, которая циркулирует по системе трубопроводов, подводящих горячую воду всем потребителям электростанции. Давление газа выше давления сетевой воды, поэтому при разгерметизации теплообменника газ будет попадать в трубопровод сетевой воды и вместе с ней циркулировать по всей электростанции. Для недопущения вышеописанной ситуации необходимо предпринимать специальные меры, что приводит к дополнительным затратам.

Кроме того выработанную турбодетандером электроэнергию необходимо передать в электросеть, для чего потребуется дополнительное электрооборудование.

Принимая во внимание вышесказанное, можно сделать вывод о том, что при заданных условиях применение турбодетандера нецелесообразно.

Полную версию статьи в формате Jupyter Notebook см. здесь.

Ссылки

1. Количество газового топлива потребляемого ГТУ

2. ОБ ЭФФЕКТИВНОСТИ ИСПОЛЬЗОВАНИЯ ДЕТАНДЕР-ГЕНЕРАТОРНЫХ АГРЕГАТОВ НА ТЭС