Добавить в корзинуПозвонить
Найти в Дзене
Дьяков Александр

Сохранение бедности из поколения в поколение в пяти странах с высоким уровнем дохода

Бедные дети с большей вероятностью станут бедными взрослыми, но в некоторых странах это менее вероятно, чем в других. Статья(https://www.nature.com/articles/s41562-024-02029-w#MOESM2).
В этом исследовании мы рассматриваем эти проблемы, используя сравнительные панельные наборы данных, полученные из административных и исследовательских записей, охватывающих США, Австралию, Данию, Германию и Великобританию. Мы изучаем межнациональные различия в IGPov и объясняем экономические, социальные и институциональные факторы, которые определяют эти различия. Вместо того, чтобы изучать восходящую и нисходящую мобильность по всему спектру распределения доходов родителей и детей, мы фокусируемся на мобильности, позволяющей выбраться из бедности, которая определяется как доля лет в детстве, когда доход семьи после уплаты налогов и социальных выплат был ниже порога бедности. Как хорошо известно, бедность в детстве связана с ухудшением состояния здоровья, снижением успеваемости и менее благоприятным
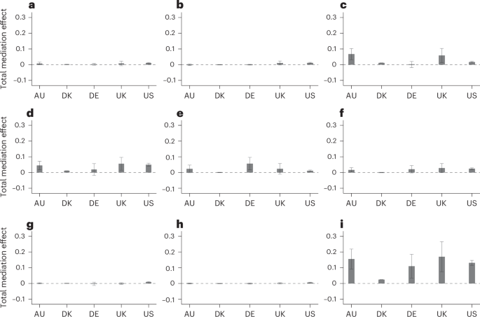
a–h, Общее влияние различных показателей (в том числе наличие аттестата о среднем образовании (a), квалификации выше среднего (b), занятости (c), работы полный рабочий день (d), занятости других членов семьи (e), воспитания в неполной семье (f), брака или партнёрства (g) и наличия партнёра с квалификацией выше среднего (h)) на взаимосвязь между детской и взрослой бедностью, согласно разложению Гельбаха69. См. уравнение (7) для полной спецификации модели. Все посредники наблюдались одновременно. i, Сумма a–h, эквивалентная общему посредническому эффекту вышеупомянутых контрольных показателей. Оценки a–h не в точности равны i, потому что совокупное посредничество также включает пропущенные фиктивные переменные для каждой переменной; различия незначительны. Точные значения и доверительные интервалы приведены в дополнительной таблице 2 в разделе C дополнительной информации. В выборку вошли респонденты, за которыми наблюдали в детстве (0–17 лет) и во взрослом возрасте (25–35 лет). Точный размер выборки составил 9561 (США (US)), 962 (Великобритания (UK)), 1563 (Австралия (AU)), 1708 (Германия (DE)) и 1 801 813 (Дания (DK)). Данные представлены в виде средних значений ± 95% ДИ.
a–h, Общее влияние различных показателей (в том числе наличие аттестата о среднем образовании (a), квалификации выше среднего (b), занятости (c), работы полный рабочий день (d), занятости других членов семьи (e), воспитания в неполной семье (f), брака или партнёрства (g) и наличия партнёра с квалификацией выше среднего (h)) на взаимосвязь между детской и взрослой бедностью, согласно разложению Гельбаха69. См. уравнение (7) для полной спецификации модели. Все посредники наблюдались одновременно. i, Сумма a–h, эквивалентная общему посредническому эффекту вышеупомянутых контрольных показателей. Оценки a–h не в точности равны i, потому что совокупное посредничество также включает пропущенные фиктивные переменные для каждой переменной; различия незначительны. Точные значения и доверительные интервалы приведены в дополнительной таблице 2 в разделе C дополнительной информации. В выборку вошли респонденты, за которыми наблюдали в детстве (0–17 лет) и во взрослом возрасте (25–35 лет). Точный размер выборки составил 9561 (США (US)), 962 (Великобритания (UK)), 1563 (Австралия (AU)), 1708 (Германия (DE)) и 1 801 813 (Дания (DK)). Данные представлены в виде средних значений ± 95% ДИ.

Бедные дети с большей вероятностью станут бедными взрослыми, но в некоторых странах это менее вероятно, чем в других. Статья(https://www.nature.com/articles/s41562-024-02029-w#MOESM2).

В этом исследовании мы рассматриваем эти проблемы, используя сравнительные панельные наборы данных, полученные из административных и исследовательских записей, охватывающих США, Австралию, Данию, Германию и Великобританию. Мы изучаем межнациональные различия в IGPov и объясняем экономические, социальные и институциональные факторы, которые определяют эти различия.

Вместо того, чтобы изучать восходящую и нисходящую мобильность по всему спектру распределения доходов родителей и детей, мы фокусируемся на мобильности, позволяющей выбраться из бедности, которая определяется как доля лет в детстве, когда доход семьи после уплаты налогов и социальных выплат был ниже порога бедности.

Как хорошо известно, бедность в детстве связана с ухудшением состояния здоровья, снижением успеваемости и менее благоприятными экономическими результатами в дальнейшей жизни2,3. Бедность в любом возрасте связана с более высокой вероятностью нехватки продовольствия и других материальных трудностей4. Таким образом, понимание процессов, способствующих выходу из бедности в детском возрасте, имеет большое значение.

Исследования, посвящённые влиянию места жительства, неизменно показывают, что место, где ребёнок растёт в Соединённых Штатах, сильно влияет на его экономические результаты в дальнейшей жизни

В итоге какие факторы влияют на бедность:
- Семейные ресурсы и инвестиции.
- Семейное происхождение.
- Влияние места.
- Сотрудничество с людьми.
- Умение генерировать индивидуальный доход.
- Налоги и страхование.