Найти в Дзене
N + 1

Комплекс железа прокатализировал реакцию Судзуки

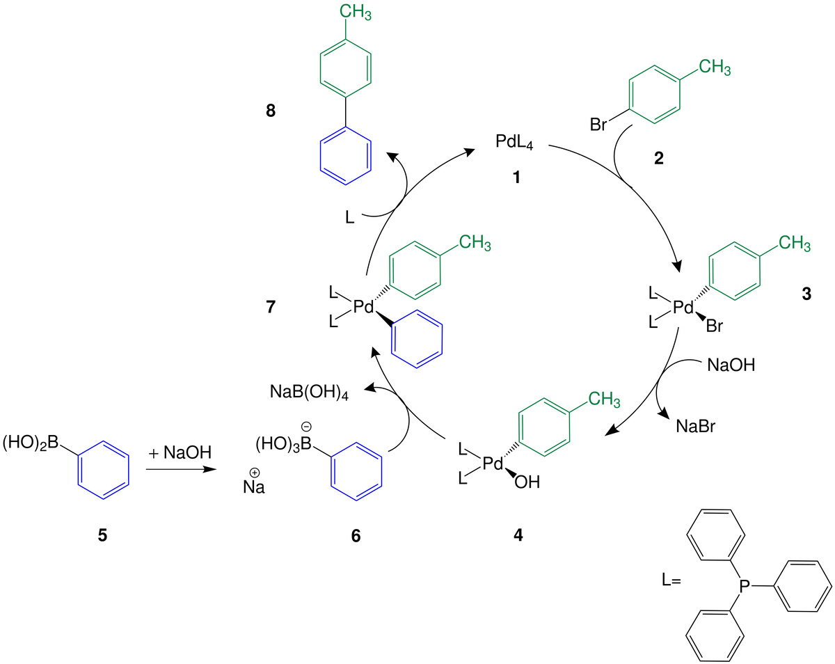
Химики из Великобритании обнаружили, что комплексы железа с N-гетероциклическими карбенами могут катализировать кросс-сочетание по Судзуки. При этом реагентами выступали эфиры ароматических бороновых кислот и арилхлориды, а в результате реакции образовывались замещенные биарилы. Исследование опубликовано в журнале Nature Synthesis. Реакция Судзуки позволяет создавать связь углерод-углерод между двумя органическими молекулами — бороновой кислотой и галогенидом. Катализируют кросс-сочетание разные комплексы палладия (0) с фосфинами, N-гетероциклическими карбенами и другими лигандами. В 2010 году японский химики Акира Судзуки получил Нобелевскую премию за открытие этой реакции. Несколько лет назад химики под руководством Робина Бедфорда (Robin B. Bedford) из Бристольского университета решили выяснить, можно ли проводить реакцию Судзуки с более дешевыми катализаторами на основе железа. В 2018 году они обнаружили, что это возможно — в присутствии карбенового комплекса железа арилгалогениды
  N + 1; Benjamin J. S. Rowsell et al. / Nature Catalysis, 2024
N + 1; Benjamin J. S. Rowsell et al. / Nature Catalysis, 2024

Химики из Великобритании обнаружили, что комплексы железа с N-гетероциклическими карбенами могут катализировать кросс-сочетание по Судзуки. При этом реагентами выступали эфиры ароматических бороновых кислот и арилхлориды, а в результате реакции образовывались замещенные биарилы. Исследование опубликовано в журнале Nature Synthesis.

Реакция Судзуки позволяет создавать связь углерод-углерод между двумя органическими молекулами — бороновой кислотой и галогенидом. Катализируют кросс-сочетание разные комплексы палладия (0) с фосфинами, N-гетероциклическими карбенами и другими лигандами. В 2010 году японский химики Акира Судзуки получил Нобелевскую премию за открытие этой реакции.

  Wikimedia Commons / Public Domain
Wikimedia Commons / Public Domain

Несколько лет назад химики под руководством Робина Бедфорда (Robin B. Bedford) из Бристольского университета решили выяснить, можно ли проводить реакцию Судзуки с более дешевыми катализаторами на основе железа. В 2018 году они обнаружили, что это возможно — в присутствии карбенового комплекса железа арилгалогениды реагировали с эфирами бороновых кислот с образованием продукта кросс-сочетания. Но в реакцию вступали только арилгалогениды, содержащие направляющую группу в соседнем с галогеном положении.

А недавно те же ученые обнаружили, что если тщательно подобрать условия реакции, то направляющая группа окажется ненужной. Реакцию химики проводили так: они смешивали арилхлорид, эфир бороновой кислоты, бромид магния, метилмагнийбромид, бромид железа (+3) и источник карбенового лиганда в смеси диоксана и 2-метилтетрагидрофурана. Затем ученые нагревали смесь в течение несколько часов при 100 градусах Цельсия — и получали на выходе продукт кросс-сочетания. Как отмечают химики, в большинстве экспериментов побочно образовывался продукт гомосочетания молекул боронового эфира, который приходилось отделять хроматографией.

  Benjamin J. S. Rowsell et al. / Nature Catalysis, 2024
Benjamin J. S. Rowsell et al. / Nature Catalysis, 2024

Далее ученые показали, что их реакция работает с разнообразными борпроизводными и арилхлоридами, а выход превращения в некоторых случаях достигает 90 процентов. Но если один из исходных содержал карбонильную группу или незамещенную аминогруппу, нужный продукт не образовывался.

Так химики обнаружили новый метод проведения реакции Судзуки с использованием железного катализатора. Какой именно комплекс выступает каталитически активной частицей, исследователи пока не выяснили. Но они предполагают, что на первой стадии реакции железо восстанавливается до степени окисления +1, а затем окислительно присоединяет арилхлорид.

Ранее мы рассказывали о том, как с помощью модификации реакции Судзуки химики научились получать диариламины.

Наука
7 млн интересуются