Добавить в корзинуПозвонить
Найти в Дзене

Олимпиадная биология. Возбуждение хлорофилла

Сегодня мы с вами обсудим один очень интересный вопрос: как именно происходит возбуждение хлорофилла. Почему в принципе химическая структура пигмента влияет на его возбуждение фотоном. Из школьного курса мы помним, что хлорофилл - это пигмент, который находится в мембране тилакоидов, способный "улавливать" свет. В результате у нас запускаются реакции световой фазы фотосинтеза. Еще мы помним, что в состав хлорофилла входит ион магния. Но пигменты (да и даже сами хлорофиллы) имеют разную структуру. Для возбуждения фотонами, обладающими разной энергией важно число сопряженных двойных связей: чем их больше, тем меньше энергии требуется на их возбуждение. Спектр поглощения для хлорофилла а и хлорофилла b имеет два максимума, которые соответствуют двум возбужденным состояниям. Два основных возбужденных состояния хлорофилла - первое (S1) и второе (S2) синглетное состояние. Второго синглетного состояния достичь сложнее (требуется больше энергии, поглощается синий фотон), а первого проще (погло
Оглавление

Сегодня мы с вами обсудим один очень интересный вопрос: как именно происходит возбуждение хлорофилла. Почему в принципе химическая структура пигмента влияет на его возбуждение фотоном.

Структура хлорофилла

Из школьного курса мы помним, что хлорофилл - это пигмент, который находится в мембране тилакоидов, способный "улавливать" свет. В результате у нас запускаются реакции световой фазы фотосинтеза.

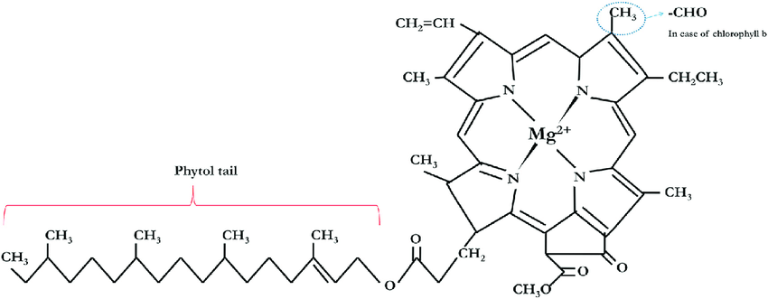
Еще мы помним, что в состав хлорофилла входит ион магния. Но пигменты (да и даже сами хлорофиллы) имеют разную структуру.

Структура хлорофилла а. Хлорофилл b вместо метильной группы имеет ацидильную группу
Структура хлорофилла а. Хлорофилл b вместо метильной группы имеет ацидильную группу

Для возбуждения фотонами, обладающими разной энергией важно число сопряженных двойных связей: чем их больше, тем меньше энергии требуется на их возбуждение.

Поглощение энергии хлорофиллом

Спектр поглощения для хлорофилла а и хлорофилла b имеет два максимума, которые соответствуют двум возбужденным состояниям.

Спектры поглощения для хлорофилла а и хлорофилла b
Спектры поглощения для хлорофилла а и хлорофилла b

Два основных возбужденных состояния хлорофилла - первое (S1) и второе (S2) синглетное состояние.

Второго синглетного состояния достичь сложнее (требуется больше энергии, поглощается синий фотон), а первого проще (поглощается красный фотон). В оба эти состояния хлорофилл переходит из основного.

Схема возбужденных состояний хлорофилла а и его возвращения в основное состояние
Схема возбужденных состояний хлорофилла а и его возвращения в основное состояние

Второе синглетное состояние характеризуется малой продолжительностью (10^-12 c), тогда как первое синглетное состояние существует дольше (около 4*10^-9 c).

Из второго синглетного состояния хлорофилл может переходить в первое синглетное состояния путем испускания тепла.

Из первого синглетного состояния хлорофилл может выходить несколькими способами:

  1. Совершение химической работы по переносу протонов против градиента концентрации и созданию потенциала на мембране. Дефицит электрона возмещается за счет молекулы воды (то, что нам из школьной программы известно как фотолиз воды).
  2. Возбужденный хлорофилл возвращается в основное состояние, расходуя энергию на излучение света (флуоресценция).
  3. Если энергия постепенно переходит через колебательные и вращательные уровни, то вся энергия будет рассеиваться в виде тепла.
  4. Если часть энергии рассеивается в виде тепла, то хлорофилл может перейти на триплетный уровень (Т1), а уже впоследствии из триплетного состояния перейти в основное за счет фосфоресценции. Хлорофилл в триплетном состоянии не участвует в фотосинтезе, но может передать энергию на кислород, превращая его в реакционноспособный синглетный кислород, который способен разрушить клеточные мембраны.
  5. И, наконец, возврат к основному состоянию может сопровождаться миграцией энергии на соседний хроматофор.

Напишите в комментариях, какая тема из олимпиадной биологии вам больше всего интересна.